Ergebnisse
Erste Ergebnisse der Repräsentativbefragung „Menschen in Deutschland 2025“
|
Die Studie „Menschen in Deutschland“ (MiD) wird von der Universität Hamburg (UHH) im Rahmen des seit 2019 existierenden bundesweiten Forschungsverbundes MOTRA durchgeführt. Ab 2025 befindet sich MOTRA in seiner zweiten Förderphase. Seitdem wird die MOTRA-Studie MiD durch das Institut für Kriminologie an der Fakultät für Rechtswissenschaft an der UHH in Kooperation mit dem Leibniz-Institut für Globale und Regionale Studien in Hamburg (GIGA) gemeinsam gestaltet. In den MiD Studien werden seit 2021 regelmäßig Einstellungen von Menschen ab 18 Jahren in Deutschland zu politischen und gesellschaftlichen Themen erhoben und deren Entwicklungen im Zeitverlauf analysiert. Dazu findet jedes Jahr im Frühsommer eine repräsentative Befragung der erwachsenen Wohnbevölkerung in Deutschland statt. Auf diesem Wege werden alljährlich über 4.000 Menschen erreicht. Mittlerweile liegen Daten von N = 21 899 Menschen vor, die in dieser Zeit von Frühsommer 2021 bis zum Sommer 2025 befragt wurden und Angaben zu ihren Erfahrungen und Einstellungen in verschiedenen Themenbereichen gemacht haben. Im Folgenden werden ausgewählte Befunde der fünften Welle der MiD-Studie aus dem Jahr 2025 vorgestellt. Im Zentrum stehen dabei subjektive Wahrnehmungen gegenwärtiger gesellschaftlicher Herausforderungen und Probleme sowie damit assoziierte Besorgnisse und Wünsche. Zusätzlich wird auch auf Bewertungen und Einschätzungen wichtiger gesellschaftlicher Entscheidungsträger sowie staatlicher und politischer Institutionen seitens der Bevölkerung eingegangen. In einem Zeitvergleich werden dabei auch Ergebnisse der vorherigen Erhebungswellen aus den Jahren 2021 bis 2024 aufgegriffen und erkennbare Trends sowie auffällige Veränderungen erläutert. |
Menschen in Deutschland 2025: Die Teilnehmer*innen der fünften Erhebungswelle1
|
|
![]() |
|
![]() |
|
1. Verbreitung von Sorgen und Verunsicherungen angesichts aktueller gesellschaftlicher Probleme und politischer Herausforderungen
Im Jahr 2025 liegen die Besorgnisse der Menschen in Deutschland mit Blick auf ihre Wahrnehmungen weltpolitischer wie auch nationaler Entwicklungen und Zustände auf einem sehr hohen Niveau (vgl. Abbildung 1).
Sorgen in Bezug auf das Thema Flüchtlingszuwanderung und Krieg haben im Vergleich zu den Vorjahren deutlich zugenommen. Die Anteile derer, die darüber „etwas“ oder „sehr“ besorgt sind, sind seit 2021 um 17.9 (Zuzug geflüchteter Menschen) bzw. 15.5 Prozentpunkte (dass Deutschland in militärische Konflikte hineingezogen werden könnte) gestiegen. Demgegenüber bleiben die Raten derer, die zumindest etwas Besorgnisse wegen des Klimawandels äußern, mit über achtzig Prozent zwar weiterhin hoch, haben aber seit 2021 um 11.3 Prozentpunkte abgenommen. Die Verbreitung von Sorgen im Hinblick auf wachsende Armut aufgrund von Wirtschaftskrisen in Deutschland aufgrund von Wirtschaftskrisen haben sich kaum verändert. Sie liegen 2025 allerdings bei 88.3% und damit unverändert weiterhin recht hoch.
| 1Die Studie wurde von 2019 bis März 2025 durch Zuwendungen des BMBF und des BMI finanziert. Seit 2025 wird MOTRA in einer zweiten Förderphase durch das BMBFT, das BMI und das BMBFSJ gefördert. Alle hier berichteten Auswertungen wurden mit gewichteten Daten vorgenommen. Die Ergebnisse sind repräsentativ und für die erwachsenen Einwohner*innen Deutschlands gültig. |
Abbildung 1: Verbreitung von Besorgnissen (% „etwas besorgt“ oder „sehr besorgt“) angesichts gesellschaftlicher und politischer Entwicklungen nach Themengebiet und Erhebungsjahr (Frage: „Inwieweit sind Sie über die folgenden Herausforderungen und deren mögliche Auswirkungen auf Ihr Leben besorgt?“ ) (MiD 2021-2025, gewichtete Daten)

Die Verbreitung der verschiedenen Sorgen unterscheiden sich allerdings ganz erheblich in Abhängigkeit von den politischen Orientierungen und Parteipräferenzen der befragten Bürgerinnen und Bürger. Diese Präferenzen wurden über die sogenannte Sonntagsfrage erhoben. Nimmt man die besonders starke Ausprägung der Besorgnissen zum Maßstab („besorgt mich sehr“) dann zeigt sich für 2025 bei der weit überwiegenden Mehrheit (91%) derer, die eine Wahlpräferenz für die AfD angeben, eine solche enorme Besorgnis mit Blick auf den Zuzug von Geflüchteten. Die entsprechenden Raten den potenziellen Wähler*innen von CDU/CSU (44.4%) und BSW (52.0%) sind im Vergleich dazu deutlich niedriger. Am niedrigsten sind diese Anteile bei Anhänger*innen von Bündnis90/Grüne mit 5.4% und der Linken mit 12.4% (vgl. Abbildung 2).
Starke Besorgnisse wegen Armut/Wirtschaftskrise sind bei Anhänger:innen der AfD (63.7%) und des BSW (70.8%) besonders verbreitet. Sorgen mit Blick auf eine mögliche Kriegsbeteiligung Deutschlands machen sich gleichfalls die potentiellen Wähler:innen des BSW mit 70.3% und der AfD mit 73.9% am häufigsten. Der Klimawandel bereitet demgegenüber vor allem Wähler:innen der Parteien B‘90/Grüne (74%), sowie etwas gehäuft auch denen der Linken (58.6%) sowie der SPD (46.8%) starke Sorgen. Anhänger:innen der anderen Parteien äußern hier deutlich seltener große Sorgen (zwischen 15.9% bei der AfD über 18.0% bei der FDP und 27.5% beim des BSW bis hin zu 30.9% bei der CDU).
Es findet sich damit ein Gesamtbild, wonach die Wähler*innen der links- sowie rechtsautoritären populistischen Parteien AfD und BSW besonders stark von Sorgen gelenkt werden. Bei der AfD gilt dies vor allem für Sorgen in Bezug auf Flucht/Migration und Armut. Bei der BSW stehen Krieg und Armut im Zentrum.
Bei Bündnis90/Grüne sowie der Linken und der SPD dominiert demgegenüber der Klimawandel mit Spitzenwerten der Besorgnisraten.
Abbildung 2: Anteile der Befragten, die „sehr besorgt“ sind nach Problemfeld und Parteipräferenz (MiD 2025, gewichtete Daten; Angaben in %)

Werden mit Krieg assoziierte Besorgnisse vor dem Hintergrund der Entwicklungen in der Ukraine weiter konkretisiert, dann ist zu erkennen, dass die Sorge, ein NATO-Staat könnte angegriffen werden, im Jahr 2025 im Vergleich zum Jahr 2023 um 7.1 Prozentpunkte zugenommen hat. Sie betrifft mit 55.8% aktuell mehr als die Hälfte der Stichprobe.
Bei etwa einem Drittel (30.7%) bestehen zudem große Sorgen, dass es in Europa zu einem Atomkrieg kommen könnte. Dieser Anteil ist gegenüber den Vorjahren zwar etwas zurückgegangen, liegt aber immer noch bei knapp einem Drittel der dazu Befragten.
Abbildung 3: Verbreitung „großer“ oder „sehr großer“ spezifisch kriegsbezogener Besorgnisse (Angaben in %; MiD 2023-2025; gewichtete Daten)

Abseits von Flucht/Migration/Zuwanderung sowie Krieg und Klimawandel spielen auch die Entwicklungen der wirtschaftlichen Situation in zum Teil ganz unmittelbar im persönlichen Alltag spürbarer Form eine wichtige Rolle für viele Menschen. Die Teilnehmenden waren in dieser Hinsicht gebeten worden, ihre Zukunftsperspektiven einzuschätzen. Sie sollten angeben, wie wahrscheinlich es ihrer Meinung nach ist, dass sie selbst in den nächsten sechs Monaten in unterschiedlichen Formen in wirtschaftliche Schwierigkeiten geraten.
Ein Fünftel (20.0%) hält es für „wahrscheinlich“ bis „sehr wahrscheinlich“, dass sie ihre Miete nicht mehr bezahlen können. Ein ähnlich hoher Anteil (21.4%) glaubt, demnächst sich zukünftig im Alltag sogar beim Einkauf von Grundnahrungsmitteln einschränken müssen. Einen Arbeitsplatzverlust befürchten 18.2%. Dieser Wert hat sich zwischen 2024 und 2025 zwar nur geringfügig verschlechtert, liegt aber angesichts der zentralen Bedeutung der Arbeitsplatzsicherheit sehr wohl auf einem relevant hohen Niveau.
Abbildung 4: Erwartete persönliche wirtschaftlicher Belastungen in den nächsten 6 Monate: Prozent Befragte, die das für „wahrscheinlich“ oder „sehr wahrscheinlich“ halten. (MiD 2023 - 2025, gewichtete Daten, Angaben in %)

In einer Gesamtschau sind somit seit 2023 die subjektiv befürchteten ökonomischen Einschränkungen und Belastungen überwiegend nicht gestiegen; in einigen Bereichen sind sogar Verbesserungen zu erkennen. Ein Niveau von etwa einem Fünftel der Menschen, die glauben demnächst Mieter und Strom nicht mehr bezahlen zu können, ist aber gleichwohl als relativ hoch einzustufen. Dies gilt erst recht, wenn man betrachtet, dass mehr als ein Drittel sich im Bereich der Versorgung mit Grundnahrungsmittel glaubt einschränken zu müssen.
2. Wahrnehmung von Staat und Politik und subjektive Einschätzungen gesellschaftlicher Entscheidungsträgern
Die Mehrheit der Bürger:innen hält schon seit längerer Zeit wichtige gesellschaftliche Entscheidungsträger in Deutschland mit Blick auf die aktuellen Herausforderungen, vor denen sie unser Land gestellt sehen, für nicht hinreichend kompetent und auch nicht für angemessen auf die Probleme der Mehrzahl der Menschen ausgerichtet.
2025 stimmen 70.5% der Aussage zu, dass die gesellschaftlichen Entscheidungsträger aus Wirtschaft, Wissenschaft und Politik sich nicht für die Probleme der einfachen Leute interessieren. 64.4% glauben, dass die gesellschaftlichen Führungskräfte oft gegen die Interessen der Bevölkerung handeln. 72.0% sind zudem der Ansicht, die Verantwortlichen seien gar nicht in der Lage, die aktuellen gesellschaftlichen Herausforderungen erfolgreich zu bewältigen (vgl. Abbildung 5).
Die Zustimmung zu diesen drei Aussagen ist seit 2021 deutlich um +9.9 (Desinteresse an Problemen der einfachen Leute), +6.3 (Handeln gegen die Interessen der Bürger) bzw. +14.1 Prozentpunkte (Unfähigkeit, die Probleme zu lösen) gewachsen. Zwar finden sich 2025 im Vergleich zum Vorjahr in zwei Bereichen leichte Rückgänge dieser negativen Sicht auf Kompetenzen und Motivation der Eliten bzw. Verantwortlichen in Politik, Wirtschaft und Gesellschaft, diese sind aber nicht signifikant. Eine klare Trendwende ist 2025 nicht zu erkennen.
Abbildung 5: Entwicklung der subjektiven Bewertungen gesellschaftlicher Entscheidungsträger (MiD 2021-2025, gewichtete Daten)

Im Einklang damit zeigen sich seit 2021 auch ganz erhebliche Rückgänge des Vertrauens der Bürger*innen, die vor allem Regierung und Parteien, also die Politik betreffen. Dieser Trend ist, wenn auch etwas schwächer ausgeprägt, mit Blick auf staatliche Institutionen wie Polizei und Gerichtsbarkeit ebenfalls zu finden (vgl. Abbildung 6).
Mit 73.9% ist nach die Rate derer, welche der Polizei vertrauen, im Vergleich der hier thematisierten Institutionen am höchsten (die Rate bezieht sich auf die Zusammenfassung der Werte von 4 bis 6 auf einer Skala von 1 bis 6). Das Vertrauen in diese in vielen Umfragen immer wieder als besonders hoch vertrauenswürdig angesehene Institution hat sich jedoch um 5.0 Prozentpunkte im Vergleich zu 2021 verringert. Seit 2023 hat sich das auch nicht wieder gebessert.
Das Vertrauen in die Gerichte ist mit 65.8% im Jahr 2025 im Vergleich der staatlichen Institutionen am zweithöchsten. Im zeitlichen Vergleich handelt es sich aber in Bezug auf die Gerichtsbarkeit um die niedrigste Vertrauensrate seit 2021. Sie liegt 8.9 Prozentpunkte niedriger als 2021 und hat vor allem in Relation zu 2024 deutlich weiter abgenommen (um 4.8 Prozentpunkte).
In Bezug auf Regierung und politische Parteien hatte das Vertrauen von 2021 bis 2024 besonders stark abgenommen. Das Vertrauen in die Regierung lag 2021 bei 55.9% und ist danach bis 2024 auf 27.8% gesunken, hat sich in der Zeit also etwa halbiert. Im Jahr 2025 liegt diese Rate dann zwar wieder um 1.3 Prozentpunkte höher. Die für 2025 erkennbare Quote von 29.1% unterscheidet sich damit aber nicht signifikant von der des Vorjahres. Im Vergleich zu 2021 beträgt der Verlust des Vertrauens in die Regierung immer noch 26.8 Prozentpunkte. Eine klare Trendwende ist nicht zu erkennen.
Abbildung 6: Entwicklung des Vertrauens in Politik und staatliche Institutionen (MiD 2021-2025, gewichtete Daten)

Das Vertrauen in die politischen Parteien lag im Jahr 2021 bei 40.5%. Im Jahr 2025 fällt es mit nur noch 21.6% statistisch signifikant um 18.9 Prozentpunkte niedriger aus. Von 2024 zu 2025 ist auch hier kaum eine Änderung zu erkennen. Das Vertrauen in politische Parteien, die für die Abläufe in einer freiheitlich-demokratischen Gesellschaft eine besondere Bedeutung haben, ist weiterhin sehr gering und mehrheitlich nicht gegeben.
3. Individuelle Diskriminierungserlebnisse und subjektive Wahrnehmungen kollektiver Marginalisierungen der Eigengruppe
Betrachtet man zunächst die Gesamtstichproben im Verlauf der Jahre, dann kann man den Eindruck gewinnen, dass die persönliche Betroffenheit durch Vorurteile, Ausgrenzungen oder Diskriminierungserfahrungen, hier erfasst in Bezug auf eigene Erlebnisse in den letzten 12 Monaten, eher wenig verbreitet ist. Gleichzeitig ist aber auch klar zu erkennen, dass auf diesem vermeintlich niedrigen Gesamtniveau die Raten kontinuierlich gestiegen sind (vgl. Abbildung 7).
Abbildung 7: Verbreitung persönlicher Diskriminierungserlebnisse wegen Hautfarbe, ethnischer Herkunft/ Nationalität oder Religion 2021-2025 (MiD 2021-2025, gewichtete Daten)

Aufgrund ihrer Hautfarbe wurden 4.6% der Befragten des Jahres 2025 in den letzten 12 Monaten „manchmal“ oder „oft“ diskriminiert. Dieser Anteil ist seit 2021 um 2.0 Prozentpunkte signifikant angestiegen. Wegen ihrer ethnischen Herkunft oder Nationalität fühlten sich 11.3% der Befragten 2025 diskriminiert. Auch diese Rate ist im Vergleich zu den Vorjahren gestiegen und aktuell auf dem höchsten Niveau. Unter Bezug auf ihre Religion diskriminiert wurden 2025 nach eigenen Angaben 7.5%. Auch diese Rate ist höher als 2021 und liegt 2024 und 2025 am höchsten.
Betrachtet man die Verbreitung der Betroffenheit durch Diskriminierungserlebnisse wegen eigener Hautfarbe, ethnischer Herkunft oder Nationalität allerdings speziell für Personen mit Migrationshintergrund, zeigen sich doch recht hohe Raten in Bezug auf diese Zielgruppe (vgl. Abbildung 8).
Abbildung 8: Prozent Personen, die in den letzten 12 Monaten von Diskriminierungserlebnissen aufgrund von Hautfarbe oder Nationalität/ethnischer Herkunft betroffen waren nach Migrationshintergrund und Migrationsgeneration (% die sich „manchmal“ oder „oft“ diskriminiert fühlen; MiD 2025; gewichtete Daten)

Insbesondere Migrant:innen der ersten Generation berichten zu erheblichen Anteilen über derartige Erlebnisse in Bezug auf die letzten 12 Monate. Mehr als ein Drittel von ihnen (37.4%) wurde mehrfach, d.h. „manchmal“ oder „oft“ diskriminiert. Das ist gegenüber dem Vorjahr 2024 mit einer Rate von 33.1% ein signifikanter Anstieg um 4.3 Prozentpunkte. 19.3% der Migrant:innen der zweiten Generation (d.h. derer, die in Deutschland geboren wurden aber mindestens ein nicht in Deutschland geborenes Elternteil haben), wurden nach eigenen Angaben aus diesem Grund diskriminiert. Von den Personen ohne Migrationshintergrund fühlten sich demgegenüber nur 3.6% in einer solchen Hinsicht betroffen.
Diskriminierungen wegen der eigenen Religion wurden vor allem von muslimischen Befragten berichtet. Mehr als die Hälfte dieser Gruppe (50.4%) fühlte sich 2025 „manchmal“ bis „oft“ aufgrund ihrer Religion diskriminiert. Bei Christ:innen sind es nur 3.8%, bei Personen ohne Religionszugehörigkeit 3.4% (vgl. Abbildung 9).
Abbildung 9: Prozent der Personen, die in den letzten 12 Monaten von Diskriminierung wegen ihrer Religion betroffen waren nach Art der Religionszugehörigkeit (% „manchmal“ oder „oft“ wegen Religion diskriminiert gefühlt; MiD 2025; gewichtete Daten)

Die Studienteilnehmer:innen wurden ferner gebeten anzugeben, wie Menschen, die so sind wie sie selbst („Menschen wie ich …), generell in unserer Gesellschaft angesehen und behandelt werden. Im Vordergrund stehen bei dieser Frage sogenannte stellvertretende Viktimisierungen im Sinne der Wahrnehmung einer Ungleichbehandlung und Benachteiligung von Personen aus der eigenen Referenzgruppe, mit der man sich identifiziert und der man sich zugehörig fühlt.
Solche Marginalisierungserfahrungen beziehen sich unter anderem auf die subjektive Einschätzung der Umgangsweisen staatlicher Institutionen mit Bürger:innen aus der jeweiligen Eigengruppe. Die Antworten deuten auf weit verbreitete Wahrnehmungen einer schlechteren Behandlung im Vergleich zu anderen hin, d.h. einer kollektiven Marginalisierung der eigenen Gruppe. Dies hat zudem im Verlauf der hier untersuchten Jahre deutlich zugenommen (vgl. Abbildung 10).
So sind erhebliche Anstiege der Zustimmung zu der Aussage zu verzeichnen, dass Menschen wie man selbst von Politikern nicht ernst genommen werden. Diese Rate lag 2021 bei 47.5% und stieg bis 2025 auf 56.2%. Eine solche Zunahme um 8.7 Prozentpunkte ist statistisch signifikant. Zwar ist gegenüber 2024 ein leichter Rückgang um -1.3 Prozentpunkte zu erkennen. Dieser ist aber statistisch nicht signifikant.
Mehr als die Hälfte der Befragten teilt die Meinung, dass Menschen wie sie selbst von der Politik nicht richtig gesehen bzw. nicht ernst genommen werden. 20.3% stimmten 2021 der Aussage zu, dass die Behörden Menschen wie sie respektlos behandeln. 2025 sind dies 24.3%, was einer signifikanten Zunahme von 3.5 Prozentpunkten entspricht und den bisherigen Höchststand im betrachteten Gesamtzeitraum markiert.
Abbildung 10: Entwicklung kollektiver Marginalisierungswahrnehmungen: „Hier bei uns werden Menschen wie ich ….“: Zustimmung in % (MiD 2021-2025, gewichtete Daten)

Der Aussage, die Polizei behandle Personen aus der Eigengruppe der Befragten unfair, stimmten 12.3% im Jahr 2021 zu; 2024 waren es mit 15.7% deutlich mehr und 2025 mit 15.3% fast ebenso viele. Dieser Anstieg um 3.0 Prozentpunkte gegenüber 2021 ist statistisch signifikant.
Insgesamt ist damit eine erhebliche Zunahme kollektiver Marginalisierungserlebnisse zu verzeichnen. Diese sind aus theoretischer Sicht mit einem erheblichen Risiko verbunden, dass es zu markanten Legitimationsverlusten staatlicher Institutionen bei weiten Teile der Bevölkerung kommen könnte. Darüber hinaus ist dies auch mit einer erhöhten Wahrscheinlichkeit assoziiert, dass gesellschaftliche Krisen und soziale Probleme sowie Bedrohungswahrnehmungen als besonders belastend erlebt werden, da staatliche Unterstützung zur Bewältigung solcher Herausforderungen von einem großen Teil als speziell für ihre Gruppe gar nicht oder nur vermindert verfügbar angesehen wird. Das kann erheblich zu Ungerechtigkeitswahrnehmungen, Konkurrenzgefühlen sowie Beeinträchtigungen des gesellschaftlichen Zusammenhalts beitragen.
4. Bedrohungen und Verlustängste im Kontext gesellschaftlichen Wandels
Ein großer Anteil der Befragten äußert sich ferner verunsichert oder besorgt angesichts subjektiv wahrgenommener Konfrontationen mit kulturellem Wandel und einem möglichen Verlust althergebrachter Gewissheiten und Traditionen im Zuge der gesellschaftlichen Entwicklungen in den letzten Jahren (vgl. Abbildung 11).
Abbildung 11: Entwicklung von Besorgnissen wegen eines wahrgenommenen sozialen und kulturellen Wandels in Deutschland in % (MiD 2023-2025, gewichtete Daten)

So werden von der überwiegenden Mehrheit starke Befürchtungen aufgrund kultureller Veränderungen und gesellschaftlichen Wandels geäußert (zwischen 61.9% und 84.8%). Diese betreffen „Verlust von Traditionen ", Entwicklungen im Sinne einer zunehmenden Anpassung an Werte bzw. „Vorstellungen von Minderheiten " sowie die Sorge, dass der „gesellschaftliche Zusammenhalt " aufgrund der Veränderungen der Lebensweise verloren geht und Deutschland nicht mehr so sein wird „ wie es einmal war “.
Ein solch hohes Niveau kultureller Verlustängste besteht schon seit 2023, dem ersten Jahr der Erhebung dieser Indikatoren. Am stärksten angestiegen ist mit +5.7 Prozentpunkten seit 2023 die Sorge wegen des Verlustes von Traditionen. Absolut am höchsten ausgeprägt ist die Sorge, dass die Veränderungen der Lebensweise zu einem Verlust des sozialen Zusammenhalts führen könnten. Diese liegt 2025 bei 84.8% und ist seit 2023 auf diesem hohen Niveau statistisch signifikant noch etwas angestiegen.
5. Verbreitung allgemeiner anomischer Verunsicherung
All diese skizzierten Entwicklungen gehen damit einher, dass sich 2025 eine Mehrheit der erwachsenen Bevölkerung in Deutschland, angesichts der Vielzahl der Probleme, Herausforderungen und Veränderungen der letzten Jahre, sowohl im Hinblick auf die gesellschaftliche Situation insgesamt als auch mit Blick auf eigene Perspektiven massiv verunsichert fühlt.
2025 stimmen 82.4% der Aussage „eher“ oder „völlig“ zu, dass man aktuell „auf alles gefasst“ sein müsse. Gegenüber 2021 ist das eine Zunahme von 11.5 Prozentpunkten. Recht steil angestiegen und kontinuierlich gewachsen ist seit 2021 auch die Rate derer, die sich angesichts der Ereignisse der letzten Jahre „richtig unsicher“ fühlen. Hier wird 2025 mit 79.5% der bisherige Spitzenwert erreicht. Gegenüber 2021 ist das ein Zuwachs von 25.2 Prozentpunkten.
Abbildung 12: Verbreitung anomischer Verunsicherung 2021 - 2025 (MiD 2021-2025, gewichtete Daten)

54.0% äußern 2025 das Gefühl, nicht mehr zu wissen was los ist, weil alles so schwierig geworden sei. Auch diese Rate ist seit 2021 mit +15.2 Prozentpunkten ganz erheblich gewachsen.
In der Summe ergibt sich für den gesamten Untersuchungszeitraum ein ganz beträchtlicher Zuwachs an Verunsicherungsgefühlen, was in Kombination mit den in dieser Zeit gewachsenen Sorgen und dem gesunkenen Vertrauen in Politik und Staat eine brisante Mischung entstehen lässt.
6. Subjektive Wahrnehmungen verschiedener Formen politischer Extremismen im eigenen Lebensumfeld
Neben eigenen politischen Einstellungen wurden auch Wahrnehmungen der Entwicklungen und Zustände im Nahbereich des eigenen Lebensumfeldes erhoben. Ziel dessen ist es, die Entwicklung politischer Extremismen aus der unmittelbaren subjektiven Sicht der Bürgerinnen und Bürger zu erfassen und auf diesem Wege deren Kenntnisse und Überzeugungen in Bezug auf ihre alltägliche Lebensumgebung von Stadtviertel, Dorf oder Wohngegend zum Maßstab zu machen. Es ist davon auszugehen, dass genau diese subjektiven Sichtweisen auch handlungsleitend und für Bewertungen relevant sein dürften.
Untersucht wurde insoweit zunächst, in welchem Ausmaß die Befragten Formen politisch-extremistische Aktivitäten im eigenen Wohnumfeld wahrnehmen, um hier erkennbare Entwicklungen und Veränderungen über die Zeit zu erfassen. Dabei wurden keine Vorgaben hinsichtlich der Definitionen dieser politischen Aktivitäten vorgenommen, sondern auch dies den eigenen Wertungen der in der Befragung erreichten Personen anheimgestellt.
Nur eine Minderheit der Befragten berichtet, politisch-extremistische Aktivitäten unterschiedlicher ideologischer Ausrichtung in der eigenen Wohnumgebung „manchmal“ oder „oft“ beobachtet zu haben. Am häufigsten handelt es sich um rechtsextreme Aktivitäten, die 25.5% im Jahr 2025 beobachtet haben. An zweiter Stelle folgen linksextremistische Aktivitäten mit 21.2%. Die geringsten Raten an Beobachtungen sind für islamistische Aktivitäten mit 19.8% zu konstatieren (vgl. Abbildung 13).
Abbildung 13: Beobachtungen politisch extremistischer Aktivitäten im eigenen Lebensumfeld (MiD 2021 - 2025, gewichtete Daten)

Für alle drei Formen politisch-extremistischer Aktivitäten sind 2025 allerdings klare Zunahmen entsprechender Beobachtungen im Vergleich zu den Vorjahren zu verzeichnen. Seit 2021 sind die Raten um 8.3 Prozentpunkte (links), 10.6 Prozentpunkte (rechts) und 11.6 Prozentpunkt (islamistisch) gewachsen.
Interessant ist, dass die am seltensten im eigenen Umfeld beobachtete Formen politisch-extremistischer Aktivitäten, diese betreffen den Islamismus, zugleich mit der stärksten Verbreitung von Bedrohungsgefühlen in Bezug auf entsprechende Ereignisse im Sinne politisch motivierte Gewalt in der eigenen Stadt/Gemeinde einhergehen.
26.8% der Befragten geben 2025 an, sich in ihrem Lebensumfeld „etwas“ bis „sehr“ durch islamistische Gewalt bedroht zu fühlen. Die Bedrohungsgefühle sind hier gegenüber 2021 um 10.7 Prozentpunkte gewachsen. Die Zuwächse haben in erster Linie seit 2023 begonnen.
Abbildung 14: Verbreitung von Bedrohungsgefühlen wegen unterschiedlicher Formen politisch-extremistisch motivierter Gewalt in der eigenen Stadt oder Gemeinde (MiD 2021 - 2025, gewichtete Daten)

Mit 25.2% fühlen sich nur geringfügig weniger Menschen durch rechtsextremistische Gewalt in ihrem Lebensumfeld bedroht. Diese Rate ist im Vergleich zu 2021 mit +5.2 Prozentpunkten nicht ganz so stark angewachsen, wie das für die Bedrohung durch islamistischen Extremismus gilt. Aber auch hier ist festzustellen, dass die maßgeblichen Zuwächse für die Zeit ab 2023 zu erkennen sind.
Mit Blick auf linksextremistische Gewalt sind die Bedrohungsgefühle am wenigsten verbreitet. Hier äußern 13.6% sich durch linksextremistische Gewalt bedroht zu fühlen. Auch in dieser Hinsicht sind jährliche Zuwächse zu erkennen. Mit +3.8 Prozentpunkte im Vergleich zum Jahr 2022 sind diese Zuwächse bis 2025 jedoch deutlich geringer als im Falle rechtsextremistischer oder islamistischer Gewalt.
Differenziert man nach der Intensität dieser Art des Bedrohungserlebens, dann erweist sich, dass Bedrohungen, die mit islamistischer Gewalt assoziiert werden, eine deutlich höhere subjektive Relevanz zu besitzen scheinen als die im eigenen Lebensumfeld erlebte Bedrohung durch links- oder rechtsextremistische Gewalt (Abbildung 15).
Abbildung 15: Bedrohung durch politisch extremistische Gewalt in der eigenen Lebensumgebung nach Intensität des Bedrohungserlebens und Art der politischen Motivation, 2021-2025 (Angaben in %; MiD 2021 – 2025; gewichtete Daten)

So geben 8.6% der Befragten 2025 an, sich durch islamistische Gewalt sehr bedroht zu fühlen, was in Relation zu 2021 mehr als eine Verdopplung bedeutet. Für Rechtsextremismus ist zwar auch eine solche Tendenz der Zunahme starker Bedrohungsgefühle erkennbar, aber die Anstiege sind hier nicht so stark. Bis 2022 war interessanterweise die Intensität der erlebten Bedrohung durch Rechtsextremismus deutlich stärker, als das für Islamismus gilt. Das ist 2025 umgekehrt.
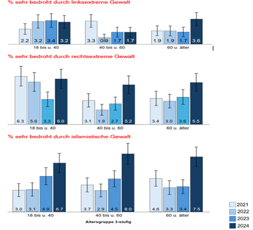
Diese Entwicklungen sind zudem nicht auf bestimmte Altersgruppen beschränkt, sondern finden sich in vergleichbarer Form in allen Altersklassen (vgl. Abbildung 16). Eine gewisse Ausnahme stellt diesbezüglich die linksextreme Gewalt dar, die im mittleren Alterssegment in den letzten Jahren deutlich seltener als bedrohlich erlebt wird im Vergleich zu den unter 40jährigen und den ab 60jährigen.
Es fällt weiter auf, dass die Raten derer, die sich in ihrer Umgebung sehr bedroht fühlen, im Fall des islamistischer Gewalt bei den jüngeren Befragten tendenziell niedriger ausfallen als in der höheren Altersgruppen, während sich für die Bedrohung durch rechtsextremistische Gewalt eine insoweit umgekehrte Rangfolge andeutet.
Abbildung 16: Wahrgenommene Bedrohung durch politisch motivierte Gewalt in der eigenen Lebensumgebung nach politischer Motivation der Täter und Altersklasse der Befragten (% „sehr bedroht“; MiD 2021 – 2025; gewichtete Daten)

Auffallend ist ferner eine Diskrepanz des Verhältnisses zwischen der Häufigkeit der Wahrnehmung der verschiedenen Formen extremistischer Aktivität in der Wohnumgebung einerseits und dem Ausmaß der diesbezüglichen Besorgnisse wegen entsprechender politisch-motivierter Gewalt andererseits.
So erfolgen Wahrnehmungen islamistischer Aktivitäten im eigenen Lebensumfeld mit Abstand am seltensten (Abbildung 17). Sofern diese dort aber gehäuft wahrgenommen werden, sind die Raten derer, die sich davon bedroht fühlen, besonders hoch. Wenn keine solche Beobachtungen gemacht werden, ist auch das Bedrohungserleben erheblich geringer.
Darüberhinaus gilt weiter, dass auch ohne die gehäufte Beobachtung politischer extremistischer Aktivitäten im eigenen Lebensumfeld (Kategorien „nie“ oder „selten“) die wahrgenommene Bedrohung durch Gewalt im Falle des Islamismus gleichwohl stets am höchsten ausfallen.
Abbildung 17: Beobachtung politisch extremistischer Aktivitäten im eigenen Lebensumfeld und % derer sie sich sehr bedroht fühlen nach Häufigkeit der Wahrnehmung solcher Aktivtäten in der eigenen Wohnumgebung im Jahr 2025 (Angaben in %; MiD 2025; gewichtete Daten)


Das hohe Bedrohungspotenzial, welches mit islamistischer politisch motivierter Gewalt assoziiert wird, scheint somit weniger abhängig vom Ausmaß der tatsächlich subjektiv erlebten Konfrontationen mit diesem Phänomen in der eigenen Lebensumgebung zu sein, als das für Rechtsextremismus und Linksextremismus gilt. Weiter gilt, dass Islamismus, auch unabhängig von Grad seiner Wahrnehmung durch Aktivitäten im eigenen Umfeld, generell stärker mit einer Bedrohung durch Gewalt verbunden wird, als dies für Rechts- und Linksextremismus gilt.
7. Akzeptanz von Verschwörungserzählungen und Verbreitung von Verschwörungsmentalitäten
Vor dem Hintergrund erheblicher Verunsicherungen, multipler Krisen und unterschiedlicher, zeitlich parallel dazu auftretender deutlich gestiegener Bedrohungswahrnehmungen ist damit zu rechnen, dass verschwörungstheoretische Narrative als eine Form der Bewältigung einer ansonsten kognitiv wie emotional als potentiell überfordernd erlebten Situation häufiger übernommen und akzeptiert werden.
Im Hinblick darauf wird im Rahmen von MiD seit 2022 systematisch erhoben, wie umfangreich in der erwachsenen Wohnbevölkerung in Deutschland die Neigung verbreitet ist, verschwörungstheoretische Narrative zu akzeptieren und diese zu teilen. Insoweit lassen sich u.a. Feststellungen dazu treffen, wie sich das im Zeitverlauf in den letzten drei Jahren verändert hat.
Im Ergebnis ist festzustellen, dass ein durchaus relevanter Anteil der Bevölkerung generell verschwörungstheoretische Erklärungen und Narrative akzeptiert. Im Jahr 2025 stimmen 32.4% der Aussage zu, dass die Herkunft des Corona-Virus absichtlich verschleiert wird. 43.7% glauben, dass es geheime Organisationen gibt, die die Politik in großem Maße beeinflussen. 33.7% sind der Auffassung, dass Politiker und Führungskräfte nur Marionetten der hinter ihnen stehenden Mächte sind; 15.6% sind der Ansicht, dass Studien, die einen Klimawandel bestätigen, gefälscht seien (Abbildung 18).
Abbildung 18: Verbreitung der Neigung zur Akzeptanz verschwörungstheoretischer Narrative (MiD 2022 - 2025, gewichtete Daten)

Diese Zustimmungsraten sind seit 2022 deutlich angestiegen. Dies gilt vor allem für die Annahme, dass es geheime Organisationen gibt, die großen Einfluss auf politische Entscheidungen haben (+8.2 Prozentpunkte). Die Rate der, die der Ansicht sind, dass Politiker in Wahrheit nur Marionetten sind, die durch dahinterstehende Mächte gesteuert werden, hat ebenfalls stark zugenommen (+4.1 Prozentpunkte), ebenso die wissenschaftsskeptische Haltung, dass Studien zum Beleg des Klimawandels gefälscht seien (+4.5 Prozentpunkte).
Es findet sich ferner ein klarer Zusammenhang zwischen der Neigung zum Glauben an Verschwörungstheorien und den politischen Parteipräferenzen (vgl. Abbildung 19). Unter Sympathisanten der AfD ist die höchste Rate an Personen zu finden, die eine solche Neigung zum Verschwörungsglauben erkennen lassen: 52.7% von ihnen stimmen mindestens einer der verschwörungstheoretischen Aussagen vollständig zu.
Abbildung 19: Verbreitung der Akzeptanz verschwörungstheoretischer Narrative nach Parteipräferenz (Sonntagsfrage; Angabe in %; MiD 2025, gewichtete Daten)

An zweiter Stelle finden sich Anhänger des BSW, von denen 38.9% mindestens einer der hier verwendeten Aussagen voll und ganz zustimmen. Unter den Nichtwählern liegt dieser Anteil bei etwas mehr als einem Viertel. Bei den übrigen Parteien liegen die entsprechenden Anteile (teils ganz deutlich) unter 20%; am höchsten ist diese Rate hier noch bei den Linken (17.4%), am niedrigsten bei B‘90/Grünen (2.2%).
8. Zusammenfassung und erste Zwischenbilanz
Im Jahr 2025 konnte die fünfte Welle der repräsentativen Umfrage „Menschen in Deutschland“ erfolgreich umgesetzt werden. Insgesamt wurden 4 458 Menschen ab 18 Jahre erreicht, die bereit waren, an dieser online durchgeführten standardisierten Befragung teilzunehmen.
Die soziodemographischen Merkmale dieser einwohnermeldeamtsbasierten großen Stichprobe der in Deutschland lebenden erwachsenen Bevölkerung entsprechen recht gut den Strukturen, wie sie auch in der erwachsenen Wohnbevölkerung Deutschlands insgesamt zu finden sind. Die Rücklaufquote liegt ferner in einem Bereich, der für solche Studien als üblich und insoweit zufriedenstellend bezeichnet werden kann. Die Ergebnisse, die auf Basis der gewichteten Daten dieser Befragung gewonnen werden, sind insoweit, wie es auch bei den vorherigen Erhebungswellen von 2021 bis 2024 der Fall war, als repräsentativ für die erwachsene Wohnbevölkerung in Deutschland anzusehen. Trendanalysen auf Grundlage dieser Daten sind insoweit ebenfalls sehr aussagekräftig.
Im längsschnittlichen Vergleich der fünf Erhebungswellen lassen sich ganz eindeutig wachsende Vertrauensverluste mit Blick auf staatliche und politische Institutionen, Zunahmen von Inkompetenzzuschreibungen in Bezug auf gesellschaftliche Entscheidungsträger und steigende Besorgnisse in sehr wichtigen Politikfeldern konstatieren. Die hier seit 2021 erkennbaren Entwicklungen lassen noch keine Trendwende erkennen. Im Gegenteil, in mehreren Bereichen hat sich die Situation weiter verschärft.
Diese Entwicklungen werden begleitet von Anstiegen der subjektiven Wahrnehmung der Zurücksetzung und kollektiven, ungerechtfertigten Benachteiligungen der Eigengruppe seitens vieler Bürgerinnen und Bürger. Hier ist es zu weiteren Anstiegen der Einschätzung gekommen, dass Menschen wie man selbst von staatlichen Institutionen schlecht behandelt, benachteiligt und mit ihren Sorgen und Nöten nicht ernst genommen werden.
Darüber hinaus ist ein beträchtliches Niveau der der Akzeptanz von Verschwörungserzählungen zu erkennen. Diese speisen Misstrauen in staatliche Institutionen und vermehren die Schwierigkeiten, rationale Debatten über gesellschaftliche Probleme und differenzierte Ansätze zu ihrer Lösung angemessen führen zu können. Diese Entwicklungen haben sich 2025 weiter fortgesetzt.
In der Summe ist auch im Jahr 2025 weiterhin eine höchst brisante Gemengelage zu konstatieren, die einen ganz erheblichen und thematisch umfassenden Legitimationsverlust der aktuellen Politik und wichtiger Entscheidungsträger bei großen Teilen der Bevölkerung indiziert.
Die Beobachtungen der Befragten in deren eigenen Lebensumfeldern verweisen im Einklang damit auf Symptome eines reduzierten gesellschaftlichen Zusammenhalts und wachsender Radikalisierung in unterschiedlichen ideologischen Bereichen. Subjektive Gefühle der Bedrohung durch politisch motivierte Gewalt in der eigenen Gemeinde oder Stadt haben gleichfalls zugenommen. Dabei spielen islamistische und rechtsextreme Formen der politisch motivierten Gewalt 2025 die entscheidende Rolle. Sorgen wegen linksextremer Gewalt existieren in der Bevölkerung zwar auch und sollten nicht ignoriert werden, diese bewegen sich allerdings auf deutlich niedrigerem Niveau.
Insgesamt zeichnet sich der Fortbestand einer gesellschaftlichen Situation ab, die aus theoretischer Sicht mit der Gefahr verbunden ist, dass sich in wachsendem Maße ein Nährboden für autoritäre populistische Agitationsbemühungen ausbreiten könnte. Weitere Beobachtungen in diesem Feld wie auch Analysen der treibenden Kräfte sind insofern notwendig, um ggfs. Änderungen von Phänomenen in Ausprägung, Form oder den insoweit relevanten Risikogruppen früh erkennen zu können.
Insbesondere vor dem Hintergrund der hohen Dynamik internationaler Entwicklungen mit ihren zum Teil ganz erheblichen Ausstrahlungswirkungen nach Deutschland sind hier sehr schnelle Veränderungen möglich, was nahelegt, im weiteren Fortgang des Monitorings internationalen politischen Veränderungen und ihren Wahrnehmungen durch die Menschen in Deutschland besondere Aufmerksamkeit zu widmen und verstärkt einzubeziehen. In von MOTRA wird dieser Aspekt vor allem durch die Fortführung der Studie „Menschen in Deutschland: International“ (MiDInt) geschehen, die in Kooperation der UHH und des GIGA seit 2022 umgesetzt und in der zweiten Förderphase von MOTRA eng mit der Studie Menschen in Deutschland (MiD) verzahnt wird.
|
Dieser Online-Bericht soll einen ersten Einblick in Fragestellungen, Methodik und ausgewählte Befunde der MOTRA Untersuchung „Menschen in Deutschland 2025“ geben und zugleich auch wichtige Trends seit 2021 beschreiben. Weitere Informationen zu unseren Forschungsarbeiten in MOTRA finden Sie auf unserer Homepage auf den Seiten https://www.mid.uni-hamburg.de/startseite.html sowie und in den Informationen zu unseren fortlaufenden Publikationen unter https://www.jura.uni-hamburg.de/die-fakultaet/professuren/kriminologie/motra.html. Wir möchten diese Gelegenheit nutzen, uns bei allen unseren Befragten, die uns so bereitwillig geantwortet und dafür Zeit zur Verfügung gestellt haben, zu bedanken. Vielen Dank, dass Sie uns durch Ihre aktive Teilnahme an der Befragung unterstützt und damit sehr geholfen haben, wissenschaftliche Erkenntnisse zu akuten und drängenden Fragen unserer Gesellschaft gewinnen zu können ! Wir hoffen sehr, dass Sie uns auch bei künftigen Befragungen im Rahmen von MOTRA weiter unterstützen, indem sie aktiv daran teilnehmen. Ohne Ihre Mithilfe wäre diese Forschung gar nicht möglich ! Vielen Dank für Ihr Vertrauen und ihre Mithilfe! Diesen hier vorliegenden Bericht stellen wir allen Interessierten Für Rückfragen kontaktieren Sie gerne unser Team unter mid-studie"AT"uni-hamburg.de. |
Zitation dieser Onlinepublikation:
Wetzels, P., Farren, D., Brettfeld, K., Fischer, J.M.K., Endtricht, R. & Richter, T. (2025). Erste Ergebnisse der repräsentativen MOTRA-Befragung „Menschen in Deutschland“ 2025 (MiD 2025). Subjektive Wahrnehmungen gesellschaftlicher Entwicklungen und Zustände sowie diesbezügliche Trends in Deutschland seit 2021. Hamburg: Universität Hamburg.
https://doi.org/10.25592/uhhfdm.18053
Online auch verfügbar unter: https://www.mid.uni-hamburg.de/ergebnisse.html
Erste Ergebnisse der Repräsentativbefragung „Menschen in Deutschland 2024“
| Die Studie „Menschen in Deutschland“ (MiD) wird von der Universität Hamburg im Rahmen des seit 2019 existierenden bundesweiten Forschungsverbundes MOTRA durchgeführt. Sie untersucht Meinungen und Haltungen von Menschen ab 18 Jahren in Deutschland zu politischen und gesellschaftlichen Themen. Dazu findet seit 2021 jedes Jahr im Frühsommer eine repräsentative Befragung der erwachsenen Wohnbevölkerung in Deutschland statt. In dieser werden alljährlich über 4.000 Menschen gebeten, Angaben zu ihren Erfahrungen, Einstellungen und Meinungen zu machen. Im Folgenden werden ausgewählte Befunde der vierten Welle der MiD-Studie aus dem Jahr 2024 vorgestellt. Im Zentrum dessen stehen zum einen subjektive Wahrnehmungen gegenwärtiger gesellschaftlicher Herausforderungen und Probleme sowie damit assoziierte Besorgnisse. Weiter geht es um die Bewertung und Einschätzung wichtiger gesellschaftlicher Entscheidungsträger sowie staatlicher und politischer Institutionen seitens der Bevölkerung. In einem Zeitvergleich wird auch auf Ergebnisse der vorherigen Erhebungswellen aus den Jahren 2021, 2022 und 2023 eingegangen. Insbesondere auffällige Veränderungen werden genauer in den Blick genommen und erläutert. |
Menschen in Deutschland 2024: Die Teilnehmer*innen der vierten Erhebungswelle1
|
|
![]() |
|
![]() |
|
![]() |
|
| 1Die Studie wird seit 2019 durch Zuwendungen des BMBF (FKZ 13N15222) und des BMI finanziert. Alle Auswertungen wurden mit gewichteten Daten vorgenommen. Die Ergebnisse sind repräsentativ und für die erwachsenen Einwohner*innen Deutschlands gültig. |
1. Verbreitung von Sorgen und Verunsicherungen angesichts aktueller gesellschaftlicher Probleme und politischer Herausforderungen
Im Jahr 2024 liegen die Besorgnisse der Menschen in Deutschland angesichts der weltpolitischen wie auch der nationalen Entwicklungen auf einem sehr hohen Niveau. Es finden sich insoweit aktuell die Spitzenwerte für den Zeitraum 2021-2024.
Sorgen, die in den letzten vier Jahren am stärksten zugenommen haben, beziehen sich auf die Themen Flüchtlingszuwanderung und Krieg. Der Anteil der Befragten, die darüber „etwas“ oder „sehr“ besorgt sind, ist in den letzten vier Jahren um 22.7 bzw. 14.6 Prozentpunkte gestiegen. Demgegenüber bleiben Besorgnisse wegen des Klimawandels mit über achtzig Prozent zwar weiterhin hoch, haben aber im betrachteten Zeitraum um 7.8 Prozentpunkte abgenommen.
Abbildung 1: Verbreitung von Besorgnissen angesichts gesellschaftlicher und politischer Entwicklungen nach Themenbereichen und Jahr der Erhebungswelle (Frage: „Inwieweit sind Sie über die folgenden Herausforderungen und deren mögliche Auswirkungen auf ihr Leben besorgt?“ ) (MiD 2021-2024, gewichtete Daten)

Welches jeweils die wichtigsten Sorgen sind und wie sich deren Ausmaß verändert hat unterscheidet sich allerdings ganz erheblich in Abhängigkeit von den politischen Orientierungen und Parteipräferenzen der befragten Bürgerinnen und Bürger.
Erwartungsgemäß macht sich die überwiegende Mehrheit (91%) jener Befragten, die eine Präferenz für die AfD angeben, große Sorgen über den Zuzug von Flüchtlingen. Diese Raten sind bei den potenziellen Wähler*innen von CDU/CSU (48.8%) und BSW (49.8%) deutlich niedriger. Am niedrigsten sind diese Anteile bei den Anhänger*innen von Bündnis90/Grüne mit 7.4% und der Partei „Die Linke“ mit 8.9%.
Besorgnisse wegen Wirtschaftskrisen und möglichen Armutsfolgen sind bei Anhänger*innen der AfD und des BSW mit 72.1% bzw. 59.5% besonders verbreitet. Sorgen um einen möglichen Krieg machen sich ebenfalls die potentiellen Wähler*innen des BSW mit 73% und der AfD mit 58.2% am häufigsten. Der Klimawandel bereitet demgegenüber besonders oft den Wähler*innen der Parteien B‘90/Grüne (74%) und Die Linke (69.4%) Sorgen.
Es findet sich damit ein Gesamtbild, wonach die Wähler*innen der links- sowie rechtsautoritären populistischen Parteien AfD und BSW besonders stark von Sorgen gelenkt werden. Bei der AfD gilt dies vor allem für Sorgen in Bezug auf Flucht/Migration und Armut. Bei der BSW stehen Krieg und Armut im Zentrum. Bei Bündnis90/Grüne sowie der Partei „Die Linke“ dominiert insoweit der Klimawandel mit Spitzenwerten der Besorgnisraten.
Abbildung 2: Prozentraten Befragter, die „sehr besorgt“ sind, nach Problemfeld und Parteipräferenz, (MiD 2024, gewichtete Daten)

Wenn man die allgemein mit Krieg assoziierten Besorgnisse vor dem Hintergrund der Entwicklungen in der Ukraine weiter konkretisiert zeigt sich, dass sich die Sorgen der Menschen in Deutschland mit Blick auf einen möglichen neuen „Kalten Krieg“ zwischen 2023 und 2024 etwas verringert haben. Trotz dieses leichten Rückgangs um 4.1 Prozentpunkte ist diese Besorgnis mit über 70% der Befragten recht hoch.
Gestiegen ist die Sorge, dass ein NATO-Staat tatsächlich angegriffen werden könnte. Diese Rate hat um 5 Prozentpunkte zugenommen und liegt derzeit bei 53.6%, betrifft also mehr als die Hälfte der Bevölkerung. Bei etwa einem Drittel (34.4%) bestehen zudem große Sorgen, dass es in Europa zu einem Atomkrieg kommen könnte.
Abbildung 3: Verbreitung „großer“ oder „sehr große“ kriegsbezogener Besorgnisse 2023 und 2024 (Angaben in %; MiD 2023, 2024; gewichtete Daten)

Abseits von Flucht/Migration/Zuwanderung sowie Krieg spielen auch Entwicklungen der wirtschaftlichen Situation und damit verbundene Herausforderungen und Probleme in Bezug auf das eigen Leben für zahlreiche die Bürgerinnen und Bürger eine ganz zentrale Rolle. Vor dem Hintergrund der enormen Preissteigerungen und Inflation, die im Gefolge der Corona-Pandemie zu registrieren waren, wurde erhoben, wie die Befragten die Entwicklung ihrer eigenen wirtschaftlichen Situation in der näheren Zukunft sehen.
Die Teilnehmenden waren gebeten worden einzuschätzen, wie wahrscheinlich es ist, dass sie in den nächsten sechs Monaten in unterschiedlichen Formen in wirtschaftliche Schwierigkeiten geraten könnten. Rund ein Fünftel hält es für „wahrscheinlich“ bis „sehr wahrscheinlich“, dass sie ihre Miete nicht mehr bezahlen können. Ein ähnlich hoher Anteil glaubt, demnächst die Heizkosten nicht mehr zahlen zu können. 43% der Befragten erwarten, dass sie sich zukünftig im Alltag sogar beim Einkauf von Grundnahrungsmitteln einschränken müssen.
Diese Werte sind zwar zwischen 2023 und 2024 signifikant zurückgegangen, sie befinden sich aber immer noch auf einem hohen Niveau. Nicht verändert hat sich mit 16% die Rate derer, die den Verlust ihres Arbeitsplatzes befürchten.
Abbildung 4: Erwartete persönliche wirtschaftlicher Belastungen in den nächsten 6 Monate: Prozent Befragte, die das für „wahrscheinlich“ oder „sehr wahrscheinlich“ halten. (MiD 2023, 2024, gewichtete Daten, Angaben in %)

2. Wahrnehmung von Staat, Politik und gesellschaftlichen Entscheidungsträgern
Die Mehrheit der Bürger*innen hält schon seit längerer Zeit die gesellschaftlichen Entscheidungsträger in Deutschland mit Blick auf die aktuellen Herausforderungen, vor denen sie unser Land gestellt sehen, für nicht hinreichend kompetent.
2024 stimmen 69.7% der Aussage zu, dass die gesellschaftlichen Entscheidungsträger aus Wirtschaft, Wissenschaft und Politik in unserem Land sich nicht für die Probleme der einfachen Leute interessieren. 70.1% glauben weiter, dass die gesellschaftlichen Führungskräfte oft gegen die Interessen der Bevölkerung handeln. 75.9% sind zudem der Ansicht, die Verantwortlichen seien gar nicht in der Lage, die aktuellen gesellschaftlichen Herausforderungen erfolgreich zu bewältigen.
Die Zustimmung zu diesen drei Aussagen ist seit 2021 deutlich um +9.1 (Desinteresse an Problemen der einfachen Leute), +11.9 (Handeln gegen die Interessen der Bürger) bzw. +18.0 Prozentpunkte (unfähig die Probleme zu lösen) gewachsen.
Abbildung 5: Entwicklung der subjektiven Bewertungen gesellschaftlicher Entscheidungsträger (MiD 2021-2024, gewichtete Daten)

Weiter zeigen sich, damit korrespondierend, hinsichtlich des Vertrauens der Bürger*innen in Politik und staatliche Institutionen seit 2021 erhebliche Rückgänge.
Abbildung 6: Entwicklung des Vertrauens in Politik und staatliche Institutionen (MiD 2021-2024, gewichtete Daten)

Mit 73.8% ist nach wie vor die Rate derer, welche der Polizei vertrauen, im Vergleich der Institutionen am höchsten (die Rate bezieht sich auf die Zusammenfassung der Werte von 4 bis 6 auf einer Skala von 1 bis 6). Auch diese, in vielen Umfragen immer wieder als besonders hoch vertrauenswürdig angesehene Institution verliert jedoch 5.0 Prozentpunkte des Vertrauens seit 2021.
Das Vertrauen in die Gerichte ist mit 70.6% im Jahr 2024 am zweithöchsten. Es steigt zum ersten Mal seit Beginn dieser Studie im Jahr 2021 im Vergleich zum Vorjahr (2023) zwar wieder signifikant etwas an (um 4.3 Prozentpunkte). Allerdings ist auch das Vertrauen in die Gerichtsbarkeit bei längerfristiger Betrachtung seit 2021 um 4.1 Prozentpunkte zurückgegangen.
In Bezug auf Regierung und politische Parteien nimmt das Vertrauen seit 2021 kontinuierlich und ganz rapide ab. Die jüngsten Veränderungen zwischen 2023 und 2024 sind zwar statistisch nicht mehr signifikant. Im langfristigen Trend sind aber massiv Verluste unübersehbar. Aktuell ist 2024 der bisherige Tiefststand erreicht.
Das Vertrauen in die Regierung lag 2021 bei 55.9% und ist bis 2024 auf 27.8% gesunken, hat sich also halbiert. Das Vertrauen in die politischen Parteien lag im Jahr 2021 bei 40.5%, im Jahr 2024 dann aber nur noch bei etwa der Hälfte dessen (21%). Mit anderen Worten: Die Regierung hat innerhalb von drei Jahren (zwischen 2021 und 2024) 28.1 Prozentpunkte und die politischen Parteien haben 19.5 Prozentpunkte an Vertrauen verloren. Eine Trendwende ist nicht zu erkennen.
3. Individuelle Diskriminierungserlebnisse und subjektive Wahrnehmungen kollektiver Marginalisierungen der Eigengruppe
Betrachtet man die Gesamtbevölkerung, dann könnte man den Eindruck gewinnen, dass persönliche Diskriminierungserfahrungen, hier erfasst in Bezug eigene Erlebnisse in den letzten 12 Monaten, nur von recht wenigen gemacht werden.
Abbildung 7: Verbreitung persönlicher Diskriminierungserlebnisse wegen Hautfarbe, ethnischer Herkunft/ Nationalität oder Religion 2021-2024 (MiD 2021-2024, gewichtete Daten)

Aufgrund ihrer Hautfarbe wurden 4.5% der Befragten des Jahres 2024 in den letzten 12 Monaten „manchmal“ oder „oft“ diskriminiert. Dieser Anteil ist seit 2021 um 1.9 Prozentpunkte signifikant angestiegen. Aufgrund ihrer ethnischen Herkunft oder Nationalität fühlten sich 10.8% der Befragten 2024 diskriminiert. Auch diese Rate ist im Vergleich zu den Vorjahren gestiegen und aktuell auf dem höchsten Niveau. Aufgrund der Religion diskriminiert wurden nach eigenen Angaben 2024 von den Befragten 7.5%. Auch diese Art der Diskriminierung ist damit in Bezug auf die Zeit 2021-2024 aktuell am höchsten.
Betrachtet man die Verbreitung von Diskriminierungen aufgrund der Hautfarbe, der ethnischen Herkunft oder der Nationalität allerding in Abhängigkeit von der Frage eines möglichen Migrationshintergrundes, zeigt sich eine doch ganz enorme Verbreitung solcher Erfahrungen in bestimmten Teilpopulationen. Insbesondere Migrant:innen der ersten Generation berichten zu erheblichen Anteilen über solche Erlebnisse aus den letzten 12 Monaten. Ein Drittel dieser Gruppe (33.1%) fühlte sich aus diesem Grund in den letzten 12 Monaten mehrfach, d.h. „manchmal“ oder „oft“ diskriminiert. 28.2% der Migranten der zweiten Generation, d.h. Befragte, die selbst in Deutschland geboren sind, aber mindestens ein im Ausland geborenes Elternteil haben, wurden nach eigenen Angaben gleichfalls aus diesem Grund diskriminiert. Von den Personen ohne Migrationshintergrund fühlten sich demgegenüber nur 4.3% in einer solchen Hinsicht persönlich diskriminiert.
Abbildung 8: Prävalenz persönlicher Diskriminierungserlebnisse aufgrund von Hautfarbe oder Nationalität/ethnischer Herkunft nach Migrationshintergrund (% die sich „manchmal“ oder „oft“ diskriminiert fühlen; MiD 2024; gewichtete Daten)

Diskriminierung aufgrund der Religion wurde vor allem von muslimischen Befragten berichtet. Fast die Hälfte dieser Gruppe (49.9%) fühlte sich 2024 „manchmal“ bis „oft“ aufgrund ihrer Religion diskriminiert. Bei Christen sind es nur 3.8%.
Abbildung 9: Prävalenz persönlicher Diskriminierungserlebnisse wegen der eigenen Religion nach Art der Religionszugehörigkeit (% „manchmal“ oder „oft“ wegen Religion diskriminiert gefühlt; MiD 2024; gewichtete Daten)

Die Befragten wurden ferner gebeten anzugeben, wie ihrer Einschätzung nach, unabhängig von ihren persönlichen Erlebnissen als individuelle Opfer von Diskriminierung, ganz allgemein Menschen ihrer Art („Menschen wie ich …) in unserer Gesellschaft angesehen und behandelt werden. Im Vordergrund stehen hier stellvertretende Viktimisierungen im Sinne der Wahrnehmung einer Ungleichbehandlung und Benachteiligung von Personen aus der eigenen Referenzgruppe, mit der man sich selbst identifiziert und der man sich zugehörig fühlt.
Solche Marginalisierungserfahrungen beziehen sich unter anderem auf die subjektive Wahrnehmung der Umgangsweisen staatlicher Institutionen mit Bürger*innen und Bürgern der jeweiligen Eigengruppe.
Die Antworten deuten auf recht ausgeprägte und weit verbreitete Wahrnehmungen einer schlechteren Behandlung im Vergleich zu anderen hin, d.h. einer kollektiven Marginalisierung der jeweiligen eigenen Gruppe. Diese Wahrnehmungen haben im Verlauf der hier untersuchten Jahre zudem deutlich zugenommen (vgl. Abbildung 10).
So sind deutliche Anstiege der Zustimmung zu der Aussage zu verzeichnen, dass Menschen wie man selbst von Politikern nicht ernst genommen werden. Diese Rate lag 2021 bei 47.5 Prozent. Sie stieg auf 57.5 Prozent im Jahr 2024. Diese Zunahme um 10 Prozentpunkte ist statistisch signifikant.
20.3% der Befragten stimmten 2021 der Aussage zu, dass Behörden Menschen wie sie respektlos behandeln. 2024 sind dies 23.9%, was einer signifikanten Zunahme von 3.5 Prozentpunkten entspricht.
Der Aussage, die Polizei behandle Personen aus ihrer Eigengruppe ungerecht, stimmten 12.3% der Befragten im Jahr 2021 zu; 2024 waren es 15.7%. Dieser Anstieg um 3.4 Prozentpunkte ist statistisch gleichfalls signifikant.
Insgesamt ist damit ein erheblicher Anstieg kollektiver Marginalisierungserlebnisse zu verzeichnen, die mit einem erheblichen Risiko verbunden sind, dass es zu markanten Legitimationsverlusten staatlicher Institutionen bei weiten Teile der Bevölkerung kommen könnte.
Abbildung 10: Entwicklung kollektiver Marginalisierungswahrnehmungen (MiD 2021-2024, gewichtete Daten)

4. Bedrohungserleben und Verlustängste im Kontext gesellschaftlichen Wandels
Ein großer Anteil der Befragten äußert sich verunsichert oder besorgt angesichts subjektiv wahrgenommener Konfrontationen mit kulturellem Wandel und einem möglichen Verlust althergebrachter Gewissheiten und Traditionen.
Abbildung 11: Entwicklung von Besorgnissen angesichts sozialen und kulturellen Wandels (MiD 2023-2024, gewichtete Daten)

So werden von der überwiegenden Mehrheit starke Befürchtungen aufgrund kultureller Veränderungen und gesellschaftlichen Wandels geäußert (zwischen 64.8% und 83.4%). Diese betreffen "Verlust von Traditionen", "Anpassung an Minderheiten", "Verlust des sozialen Zusammenhalts" und die Beobachtung "Deutschland wird sich deutlich verändern".
Dieses hohe Niveau kultureller Verlustängste besteht schon seit 2023. Zunahmen sind 2024 nur hinsichtlich der globalen Besorgnis darüber, dass Deutschland sich deutlich verändern wird, in einem auch statistisch signifikanten Maß zu erkennen.
5. Verbreitung allgemeiner anomischer Verunsicherung
All diese skizzierten Entwicklung gehen damit einher, dass sich 2024 eine Mehrheit der erwachsenen Bevölkerung in Deutschland, angesichts der Vielzahl der Probleme, Herausforderungen und Veränderungen der letzten Jahre, sowohl im Hinblick auf die gesellschaftliche Situation insgesamt als auch mit Blick auf eigene Perspektiven massiv verunsichert fühlt.
Weit über 70% der Befragten stimmen den Aussagen „eher“ oder „völlig“ zu, dass man aktuell „auf alles gefasst“ sein müsse. Kontinuierlich gewachsen ist seit 2021 vor allem die Rate derer, die sich angesichts der Ereignisse der letzten Jahre „richtig unsicher“ fühlt. Hier wird 2024 der bisherige Spitzenwert erreicht.
Abbildung 12: Verbreitung anomischer Verunsicherung 2021 - 2024 (MiD 2021-2024, gewichtete Daten)

Das Gefühl, nicht mehr zu wissen, was los ist, äußern 2024 mit 54.2% mehr als die Hälfte. Dieser Anteil ist zudem seit 2021 um 15.4 Prozentpunkte ganz massiv angestiegen.
6. Wahrnehmung von Extremismen und Intoleranz im eigenen Lebensumfeld
Neben den eigenen politischen Einstellungen wurden auch Wahrnehmungen des Zustandes im eigenen Lebensumfeld erfasst. Untersucht wurde insoweit, in welchem Ausmaß Formen intoleranter Haltungen in der eigenen Wohnumgebung wahrgenommen werden, die sich in Vorurteilen, Hass oder Ablehnung von Fremdgruppen und Minderheiten zu erkennen geben. Erhoben wurden insoweit die Häufigkeiten der Beobachtungen von Anzeichen und Aktivitäten, die als Formen des Antisemitismus, der Ausländerfeindlichkeit oder der Muslimfeindlichkeit eingeordnet wurden. Weiter wurde gemessen, inwieweit die Befragten in ihrer Umgebung Hinweise auf Aktivitäten in den Bereichen Linksextremismus, Rechtsextremismus oder Islamisms wahrnehmen und wie sie darauf reagieren.
Abbildung 13: Besorgnisse wegen der Wahrnehmung verschiedener Formen von Vorurteilen und Intoleranz im eigenen Lebensumfeld: Entwicklungen zwischen 2023 und 2024 (MiD 2023 und MiD 2024, gewichtete Daten)

Im Hinblick auf Besorgnisse wegen Formen von Intoleranz und Vorurteilen zeigen sich in Bezug auf Antisemitismus zwischen 2023 und 2024 signifikante Anstiege von 32.9% auf 40.0%. Besorgnisse wegen Islamfeindlichkeit und Ausländerfeindlichkeit sind deutlich häufiger. 48.8% machten sich 2024 Sorgen wegen Ausländerfeindlichkeit in ihrem Wohnumfeld, 43.1% wegen Islamfeindlichkeit. Diese haben sich zwischen 2023 und 2024 aber nicht signifikant verändert.
In Bezug auf politisch-extremistische Aktivitäten im eigenen Lebensumfeld berichtet nur eine Minderheit der Befragten, diese dort „manchmal“ oder „oft“ beobachtet zu haben. Am häufigsten handelt es sich um rechtsextreme Aktivitäten (21.6%), an zweiter Stelle folgen islamistische Aktivitäten (17.4%). Die geringsten Raten an Beobachtungen sind für linksextremistische Aktivitäten zu konstatieren.
Für alle drei Formen beobachteter politisch-extremistischer Aktivitäten sind 2024 allerdings klare Zunahmen im Vergleich zu den Vorjahren zu verzeichnen. Seit 2021 sind die Raten um 3.8 (links), 6.8 (rechts) und 9.3 Prozentpunkte (islamistisch) angestiegen.
Abbildung 14: Beobachtung politisch extremistischer Aktivitäten im eigenen Lebensumfeld 2021 – 2024 (MiD 2021 - 2024, gewichtete Daten)

Interessant ist, dass die am seltensten im eigenen Umfeld beobachtete Formen politisch-extremistischer Aktivitäten, diese betreffen den Islamismus, zugleich mit der stärksten Verbreitung von Bedrohungsgefühlen in Bezug auf entsprechend politisch motivierte Gewalt in der eigenen Stadt/Gemeinde einhergehen.
22.7% der Befragten geben 2024 an, sich in ihrem Lebensumfeld „etwas“ bis „sehr“ durch islamistische Gewalt bedroht zu fühlen. Mit 21.6% fühlen sich nur geringfügig weniger Menschen durch rechtsextreme Gewalt bedroht. 16.8% äußern das in Bezug auf linksextreme Gewalt.
Abbildung 15: Verbreitung von Bedrohungsgefühlen wegen politisch-extremistisch motivierter Gewalt in der eigenen Stadt oder Gemeinde 2021-2024 (MiD 2021 - 2024, gewichtete Daten)

Im Vergleich zu 2021 sind die Raten des Bedrohungsgefühls wegen linksextremer Gewalt nicht signifikant gestiegen. Die wahrgenommene Bedrohung durch rechtsextreme Gewalt lässt von 2023 nach 2024 (+4.0%) jedoch eine signifikante Zunahme erkennen. In Bezug auf islamistisch motivierte Gewalt sind die Raten 2024 durchgehend höher als im Jahr 2021, wobei die bedeutendsten Zunahmen 2024 zu verzeichnen sind. Hier haben sich dir Raten mehr als verdoppelt.
Insgesamt fühlen sich 2024 etwas mehr als ein Fünftel der Bevölkerung durch rechtsextremistische oder islamistische Gewalt im eigenen Lebensumfeld „bedroht“ oder gar „sehr bedroht“.
Differenziert man die Intensität dieser Art des Bedrohungserlebens, dann erweist sich, dass islamistische Gewalt eine deutlich höhere subjektive Relevanz zu besitzen scheint (vgl. Abbildung 16).
Abbildung 16: Bedrohung durch politisch extremistische Gewalt in der eigenen Lebensumgebung nach Intensität des Bedrohungserlebens und Art der politischen Motivation, 2021-2024 (Angaben in %; MiD 2021 – 2024; gewichtete Daten)

So geben 7.4% der Befragten 2024 an, sich durch islamistische Gewalt sehr bedroht zu fühlen, was in Relation zu 2021 nahezu eine Verdopplung bedeutet. Demgegenüber ist für Rechtsextremismus zwar auch eine solche Tendenz erkennbar, aber die Anstiege sind nicht so stark. Bis 2022 war zudem die Intensität der erlebten Bedrohung durch Rechtsextremismus auch deutlich stärker, als das für Islamismus gilt.
Diese Entwicklungen sind nicht auf bestimmte Altersgruppen beschränkt, sondern finden sich in vergleichbarer Form in allen Altersklassen (vgl. Abbildung 17). Eine gewisse Ausnahme stellt diesbezüglich die linksextreme Gewalt dar, die im mittleren Alterssegment in den letzten Jahren deutlich seltener als bedrohlich erlebt wird im Vergleich zu den unter 40jährigen und den ab 60jährigen.
Es fällt weiter auf, dass die Raten derer, die sich in ihrer Umgebung sehr bedroht fühlen, im Fall des islamistischer Gewalt bei den jüngeren Befragten tendenziell niedriger ausfallen als in der höheren Altersgruppen, während sich für die Bedrohung durch rechtsextremistische Gewalt eine insoweit umgekehrte Rangfolge andeutet.
Abbildung 17: Rate der Befragten die sich durch politisch extremistische Gewalt in der eigenen Lebensumgebung sehr bedroht fühlen (Angaben in %; MiD 2021 – 2024; gewichtete Daten)

Auffallend ist ferner eine Diskrepanz des Verhältnisses zwischen der Häufigkeit der Wahrnehmung der jeweiligen Formen extremistischer Aktivität in der Wohnumgebung und dem Ausmaß der diesbezüglichen Besorgnisse wegen entsprechender politisch-motivierter Gewalt.
So erfolgen Wahrnehmungen islamistischer Aktivitäten im eigenen Lebensumfeld mit Abstand am seltensten (Abbildung 18). Sofern diese dort aber gehäuft wahrgenommen werden, sind die Raten derer, die sich davon bedroht fühlen, extrem hoch. Sofern keine solche Beobachtungen erfolgt sind, ist auch das Bedrohungserleben erheblich geringer.
Generell gilt darüberhinaus, dass auch ohne die gehäufte Beobachtung politischer extremistischer Aktivitäten im eigenen Lebensumfeld (Kategorien „nie“ oder „selten“) die wahrgenommene Bedrohung durch Gewalt im Falle des Islamismus gleichwohl stets am höchsten ausfallen.
Abbildung 18: Beobachtung politisch extremistischer Aktivitäten im eigenen Lebensumfeld und % derer sie sich sehr bedroht fühlen nach Häufigkeit der Wahrnehmung solcher Aktivtäten in der eigenen Wohnumgebung im Jahr 2024 (Angaben in %; MiD 2024; gewichtete Daten)


Das hohe Bedrohungspotenzial, welches mit islamistischer politisch motivierter Gewalt assoziiert wird, scheint somit weniger abhängig vom Ausmaß der tatsächlich subjektiv erlebten Konfrontationen mit diesem Phänomen in der eigenen Lebensumgebung zu sein, als das für Rechtsextremismus und Linksextremismus gilt. Weiter gilt, dass Islamismus Gewalt, auch unabhängig von Grad seines erlebten Auftretens, generell stärker mit einer Bedrohung durch Gewalt verbunden wird, als dies für Rechts- und Linksextremismus gilt.
7. Akzeptanz von Verschwörungserzählungen und Verbreitung von Verschwörungsmentalitäten
Vor dem Hintergrund erheblicher Verunsicherungen, multipler Krisen und unterschiedlicher, zeitlich parallel dazu auftretender deutlich gestiegener Bedrohungswahrnehmungen ist damit zu rechnen, dass verschwörungstheoretische Narrative als eine Form der Bewältigung einer ansonsten kognitiv wie emotional als potentiell überfordernd erlebten Situation häufiger übernommen und akzeptiert werden.
Im Hinblick darauf wurde seit 2022 systematisch erhoben, wie umfangreich in der erwachsenen Wohnbevölkerung in Deutschland die Neigung verbreitet ist, verschwörungstheoretische Narrative zu akzeptieren und diese zu teilen. Insoweit lassen sich u.a. Feststellungen dazu treffen, wie sich das im Zeitverlauf in den letzten drei Jahren verändert hat.
Im Ergebnis ist festzustellen, dass ein relevanter Anteil der Bevölkerung verschwörungstheoretische Erklärungen und Narrative akzeptiert. Im Jahr 2024 stimmen 28.8% der Befragten der Aussage zu, dass die Herkunft des Corona-Virus absichtlich verschleiert wird. 41% glauben, dass es geheime Organisationen gibt, die die Politik in großem Maße beeinflussen. 32.7% sind der Auffassung, dass Politiker und Führungskräfte nur Marionetten der hinter ihnen stehenden Mächte sind; 16.2% sind der Ansicht, dass Studien, die einen Klimawandel bestätigen, gefälscht seien.
Diese Zustimmungsraten sind seit 2022 deutlich angestiegen. Dies gilt vor allem für die Annahme, dass Politiker in Wahrheit durch geheime Organisationen gesteuert werden (+5.5 Prozentpunkte) sowie die wissenschaftsskeptische Haltung, dass Studien zum Beleg des Klimawandels gefälscht seien (+5.0 Prozentpunkte).
Abbildung 19: Verbreitung der Neigung zur Akzeptanz verschwörungstheoretischer Narrative (MiD 2022 - 2024, gewichtete Daten)

Es findet sich ferner ein klarer Zusammenhang zwischen der Neigung zum Glauben an Verschwörungstheorien und den politischen Parteipräferenzen (vgl. Abbildung 20). Letztere wurde über die übliche Sonntagsfrage zum voraussichtlichen eigenen Wahlverhalten erfasst, wenn nächsten Sonntag Wahltag wäre.
Unter Sympathisanten der AfD ist die höchste Rate an Personen zu finden, die eine solche Neigung zum Verschwörungsglauben erkennen lassen: 48.3% von ihnen stimmen mindestens einer der verschwörungstheoretischen Aussagen vollständig zu.
Abbildung 20: Verbreitung der Akzeptanz verschwörungstheoretischer Narrative nach Parteipräferenz (Sonntagsfrage; Angabe in %; MiD 2024, gewichtete Daten)

An zweiter Stelle finden sich Anhänger des BSW, von denen 29.9% mindestens einer der hier verwendeten Aussagen voll und ganz zustimmen. Unter den Nichtwählern liegt dieser Anteil bei rund einem Drittel. Bei den übrigen Parteien liegen die entsprechenden Anteile um die 10%; am höchsten ist diese Rate hier bei den CDU/CSU-Sympathisanten (14.1%), am niedrigsten bei B‘90/Grünen (3.9%).
8. Zusammenfassung und erste Zwischenbilanz
Im Jahr 2024 konnte die vierte Welle der repräsentativen Studie „Menschen in Deutschland“ erfolgreich umgesetzt werden. Insgesamt wurden mehr als 4000 Menschen ab 18 Jahre erreicht, die bereit waren, an dieser Befragung teilzunehmen. Die Merkmale dieser einwohnermeldeamtsbasierten großen Stichprobe der in Deutschland lebenden erwachsenen Bevölkerung entspricht sehr gut den Strukturen der Gesamtbevölkerung. Die Rücklaufquoten waren in einem Bereich, der für solche Studien als sehr gut bezeichnet werden kann. Die Ergebnisse der Befragungen sind insoweit als repräsentativ anzusehen.
Im längsschnittlichen Vergleich der vier Erhebungswellen lassen sich ganz eindeutig wachsende Vertrauensverluste, Zunahmen von Inkompetenzzuschreibungen mit Blick auf gesellschaftliche Entscheidungsträger und steigende Besorgnisse in sehr wichtigen Politikfeldern konstatieren. Darüber hinaus sind zusätzlich auch erhebliche Rückgänge des Vertrauens in Staat und Politik zu konstatieren.
Diese Entwicklungen werden begleitet von Anstiegen der subjektiven Wahrnehmung kollektiver Benachteiligungen der Eigengruppe seitens vieler Bürgerinnen und Bürger. Hier geht es um die Zunahme der Einschätzung, dass Menschen wie man selbst von staatlichen Institutionen schlecht behandelt, benachteiligt und mit ihren Sorgen und Nöten nicht ernst genommen werden.
Weiter sind erhebliche Zuwächse der Akzeptanz von Verschwörungserzählungen zu erkennen. Diese sind generell mit der Entstehung von Schwierigkeiten verbunden, lösungsorientierte rationale Debatten überhaupt angemessen führen zu können.
In der Summe ergibt dies eine höchst brisante Gemengelage, die einen ganz erheblichen und thematisch umfassenden Legitimationsverlust der aktuellen Politik und wichtiger Entscheidungsträger bei großen Teilen der Bevölkerung indiziert.
Die Beobachtungen der Befragten in deren eigenen Lebensumfeldern verweisen im Einklang damit auf Symptome eines reduzierten gesellschaftlichen Zusammenhalts. So ist der Anteil der Menschen gestiegen, die in ihren Städten und Gemeinden Formen der Intoleranz wie Ausländerfeindlichkeit, Islamfeindlichkeit und Antisemitismus registrieren. Das steht mit zahlreichen Studien im Einklang, die gleichfalls vermehrte registrierte Vorfälle im Bereich von Intoleranz und Hass berichten oder auf der Grundlage von Umfragen Zunahmen intoleranter Einststellungen festgestellt haben.
Diese Entwicklungen werden unseren Befunden nach ferner begleitet von Anstiegen der Raten an Personen, die in ihrem Wohnumfeld Formen politisch-extremistischer Aktivitäten registrieren. Gefühle der Bedrohung durch politisch motivierte Gewalt in der eigenen Gemeinde oder Stadt haben in diesem Kontext gleichfalls zugenommen. Dabei spielen islamistische und rechtsextreme Formen der politisch motivierten Gewalt die entscheidende Rolle. Sorgen wegen linksextremer Gewalt existieren in der Bevölkerung zwar auch und sollten nicht ignoriert werden, dies bewegt sich allerdings auf deutlich niedrigerem Niveau.
Insgesamt zeichnet sich damit eine gesellschaftliche Situation ab, die aus theoretischer Sicht mit der Gefahr verbunden ist, dass sich in wachsendem Maße ein fruchtbarer Nährboden für autoritäre populistische Agitationsbemühungen ausbreiten könnte. Dies stellt eine ernsthafte Gefahr für eine liberale, rechtsstaatliche Demokratie dar. Die aktuelle Lage lässt sich insoweit als eine potentiell „explosive Mischung“ beschreiben, als eine gesellschaftliche Konstellation mit erhöhten Risiken der weiteren Verstärkung von sozialen Vorurteilen gegenüber Minderheiten und Fremdgruppen jedweder Art bis hin zu manifesten Ausprägungen gruppenbezogener Menschenfeindlichkeit mit ihren erheblichen sozial desintegrativen Effekten.
Aus unserer Sicht erscheint es angesichts der sehr dynamischen und labilen Situation auf nationaler wie internationaler Ebene wichtig und geboten, diese Entwicklungen weiter wissenschaftlich aufmerksam zu verfolgen. Neben differenzierten, multimethodalen Beschreibungen geht es dabei auch darum, Früherkennung zu etablieren, neue Phänomene zu registrieren wie auch die Hintergründe der beschriebenen Entwicklungen differenziert zu analysieren, nicht zuletzt und vor allem auch in Bezug auf sich daraus ergebende Erkenntnisse für die Bereiche von Prävention und Intervention sowohl auf der zivilgesellschaftlichen als auch der staatlichen Ebene von Gesetzgebung, Regierung und Behörden.
|
Dieser Bericht soll als Rückmeldung einen frühen ersten Einblick in Fragestellungen, Umsetzung, Verlauf und ausgewählte Befunde unserer Untersuchung „Menschen in Deutschland 2024“ geben und wichtige erkennbare Trends beschreiben. Weitere Informationen zu unseren Forschungsarbeiten in diesem Feld finden Sie auf unserer Homepage https://www.mid.uni-hamburg.de/startseite.html und in unseren fortlaufenden Publikationen unter https://www.jura.uni-hamburg.de/die-fakultaet/professuren/kriminologie/motra.html. Wir möchten diese Gelegenheit hier nutzen, uns vor allem bei allen unseren Befragten, die uns so bereitwillig geantwortet und dafür ihre Zeit zur Verfügung gestellt haben, ganz herzlich zu bedanken. Vielen Dank, dass Sie uns durch Ihre aktive Teilnahme an der Befragung unterstützt und damit sehr geholfen haben, wissenschaftliche Erkenntnisse zu akuten und drängenden Fragen unserer Gesellschaft gewinnen zu können ! Wir hoffen sehr, dass Sie uns auch bei den künftigen Befragungen im Rahmen von MOTRA weiter unterstützen, indem sie aktiv daran teilnehmen und so die Forschungsarbeit unterstützen. Ohne Ihre Mithilfe wäre das nicht möglich ! Diesen hier vorliegenden Bericht stellen wir allen Interessierten Für Rückfragen kontaktieren Sie gerne unser Team unter mid-studie"AT"uni-hamburg.de. |
Erste Ergebnisse der Repräsentativbefragung „Menschen in Deutschland 2023“
| Die Studie „Menschen in Deutschland“ (MiD) wird von der Universität Hamburg im Rahmen des bundesweiten Forschungsverbundes MOTRA durchgeführt. Sie untersucht Meinungen und Haltungen von Menschen ab 18 Jahren in Deutschland zu aktuellen politischen Fragen und gesellschaftlichen Entwicklungen. Dazu wird seit 2021 jedes Jahr eine repräsentative Befragung der erwachsenen Bevölkerung in ganz Deutschland durchgeführt, in der jeweils über 4.000 Menschen zu diesen Themen zu Wort kommen. Im Folgenden werden erste Ergebnisse der MiD-Studie aus dem Jahr 2023 (dritte Welle) vorgestellt und auch die Veränderungen im Vergleich zu den Ergebnisse der beiden vorherigen Wellen aus 2021 und 2022 beschrieben. |
Menschen in Deutschland 2023 – Wer sind unsere Teilnehmer*innen? 1
|
|
![]() |
|
![]() |
|
| |
|
![]() |
|
| 1 Alle Auswertungen, über die hier berichtet wird, wurden mit gewichteten Daten vorgenommen. Dies stellt sicher, dass die Stichprobe in Bezug auf wichtige zentrale Merkmale auch den Verhältnissen der erwachsenen Bevölkerung in Deutschland entspricht. Dadurch können die Ergebnisse als repräsentativ angesehen und auf alle erwachsenen Einwohner*innen Deutschlands verallgemeinert werden. |
Sorgen und Verunsicherung angesichts gesellschaftlicher Herausforderungen und Veränderungen
In allen drei Wellen der MiD Studie wurden die Teilnehmenden zu ihren Sorgen und Verunsicherungen angesichts gesellschaftlicher Herausforderungen und Veränderungen befragt. 2023 waren solche Sorgen unter den Befragten weit verbreitet.
Die meisten Sorgen machten sich die Menschen im Jahr 2023 - wie bereits 2021 und 2022 - über Wirtschaftskrisen und einen damit verbundenen möglichen Anstieg von Armut. Fast neun von zehn Befragte (88.1%) gaben an „etwas besorgt“ oder „sehr besorgt“ darüber zu sein. Diese Rate ist im Zeitverlauf stabil. Ähnlich hoch waren mit insgesamt 81.7% die Besorgnisse in Bezug auf Folgen des Klimawandels, wobei diese Rate in den letzten zwei Jahren um 8 Prozentpunkte gesunken ist. Hier könnte möglicherweise ein Gewöhnungseffekt aufgrund der zu diesem Thema schon länger anhaltenden gesellschaftlichen Debatte eingetreten sein, der die akuten Sorgen etwas verringert. An dritter Stelle folgt die Sorge, „dass Deutschland öfter in militärische Konflikte hineingezogen werden könnte“ (insgesamt 79.7%). Zwischen 2021 und 2022 nahm diese Rate stark zu, während sie nun wieder signifikant abgesunken, aber nach wie vor recht hoch ist. Während die Erhöhung in 2022 auf den Ausbruch des Ukraine-Kriegs zurückzuführen ist, scheint sich - ähnlich wie in Bezug auf die Klimakrise - die Bevölkerung an die anhaltende Kriegssituation zu gewöhnen. Die Konflikteskalation in Israel fand erst ab Oktober 2023 statt und war von daher zur Zeit der Befragung noch nicht erkennbar.
Die deutlichsten Veränderungen sind bezüglich der Sorgen über die Corona-Pandemie sowie über die Flüchtlingszuzüge zu erkennen: Während erstere sinken, steigen letztere stark an. Weniger als ein Drittel (31.9%) der Befragten gibt 2023 an, besorgt über die Corona-Pandemie zu sein. Seit 2021 sind diese Sorgen demnach um fast 58 Prozentpunkte gesunken. Corona ist in der Wahrnehmung der Bevölkerung somit keine besorgniserregende Herausforderung mehr. In entgegengesetzte Richtung entwickelt sich die Bewertung der Flüchtlingssituation. Mehr als zwei Drittel der Befragten (67.7%) machen sich diesbezüglich Sorgen. Diese Rate hat sich seit 2021 um 16.6 Prozentpunkte erhöht
Der Vergleich zwischen der ersten Welle (MiD 2021) und den darauffolgenden Wellen ist aufgrund von Veränderungen in den Frageformulierungen nur bedingt möglich. Die Frageformulierungen der ersten und zweiten Welle können jeweils in Endtricht et. al. 2022, S. IX und Fischer et al. 2023, S. XXVII nachgelesen werden.

Aufgrund der die aktuellen Relevanz der Eskalation des Ukraine-Kriegs seit 2022 und damit verbundener wirtschaftlicher Probleme in Deutschland wurden weitere Fragen gestellt, die diesbezügliche Sorgen aufgreifen und weiter konkretisieren.
Zum Ukraine-Krieg und seinen Folgen ist 2023 die größte Sorge der Befragten, dass sich daraus ein neuer „Kalter Krieg“ zwischen Russland und dem Westen entwickeln könnte. Hierüber machen sich etwa drei Viertel der Befragten (76%) „eher große“ oder „sehr große“ Sorgen. Außerdem sorgt sich fast die Hälfte der Befragten (48.6%), dass Deutschland oder ein anderer NATO-Staat angegriffen werden könnte. Sorgen über das Zusammenbrechen der Energieversorgung in Europa und über einen Atomkrieg sind bei jeweils etwas mehr als einem Drittel der Befragten verbreitet.

Die Sorgen über eine Inflation wurden anhand von Fragen zu möglichen Einschränkungen in Bereich der Befriedigung persönlicher existenzieller Bedürfnisse „in den nächsten 6 Monaten“ erfasst. Mehr als die Hälfte der Befragten (52.4%) glaubt daran, dass sie sich beim Einkauf von Grundnahrungsmitteln einschränken muss. Jeweils fast ein Drittel glaubt zudem, Heizung und Strom (31.9%) oder ihre Kredite (30.1%) nicht mehr bezahlen zu können. 25% der Befragten glauben zudem, sie werden ihre Miete nicht mehr bezahlen können und 16.8% halten es für wahrscheinlich, ihren Arbeitsplatz zu verlieren. Darüber hinaus nimmt eine große Mehrheit an, sich auch außerhalb der basalen Bedürfnisse einschränken zu müssen. So hält es mit 65.7% eine deutliche Mehrheit der Befragten für „wahrscheinlich“ oder „sehr wahrscheinlich“, sich in naher Zukunft bei Ausgaben für die Freizeit einschränken müssen.

Über solche konkret benannten Herausforderungen und Sorgen hinaus wurde auch allgemeiner erfasst, wie verbreitet Gefühle der Verunsicherung aufgrund gesellschaftlicher Veränderungen und neuer Herausforderungen in der Bevölkerung sind. Am weitesten verbreitet ist danach das Gefühl „auf alles gefasst sein“ zu müssen (77.9%). Diese Rate ist seit 2021 angestiegen, im Vergleich zu 2022 aber unverändert hoch. Deutliche Anstiege zwischen den Wellen zeigen sich für die Aussagen, dass man unsicher werde, wenn man die Ereignisse der letzten Jahre betrachtet (von 54.4% in der ersten Welle auf 64.4% in der zweiten und 72.2% in der dritten) sowie die Feststellung, dass die Dinge heute so schwierig geworden sind, dass man „nicht mehr weiß, was los ist“ (von 38.8% in der ersten Welle auf 46.3% in der zweiten und 55.9% in der dritten).
Insgesamt haben damit seit 2021 alle diese Aussagen, die Verunsicherng ausdrücken, mehr Zustimmung erhalten. Krisen und Veränderungen, die sich zwischen den Befragungen ereignet haben, gehen demnach mit einer deutlich erhöhten allgemeinen Verunsicherung einher, die zusammengenommen aktuell mehr als die Hälfte der Bevölkerung betrifft.

Bewertung der Demokratie und Vertrauen in die Politik
Der Anteil der Personen, die glauben, dass mit der Demokratie die Probleme in Deutschland gelöst werden können, ist zwischen 2021 und 2022 stark gesunken. In 2023 hat sich dieser Anteil mit 80.6% nur leicht erholt. Diese leichte Erhöhung ist allerdings statistisch nicht signifikant. Auch aktuell zweifeln mehr Personen als noch vor 2 Jahren daran, dass mit der Demokratie die Lösung aktueller Probleme gelingen kann.
Die Akzeptanz wichtiger Grundrechte und Freiheiten wie die Versammlungsfreiheit („Jeder Bürger sollte das Recht haben, für seine Überzeugungen auf die Straße zu gehen“), Meinungsfreiheit („Alle Minderheiten sollten das Recht haben, ihre Meinung frei zu äußern“) und Pressefreiheit („Die Freiheit der Presse in unserem Land muss geschützt werden“) ist seit 2021 anhaltend hoch. Mit 88.5%, 92.8% und 93.7% erhalten diese drei Dimensionen eine sehr breite Zustimmung in der Bevölkerung.

Diese Stabilität in der Akzeptanz von Grundrechten und Freiheiten spiegelt sich allerdings nicht im Vertrauen gegenüber verschiedenen politischen und gesellschaftlichen Institutionen und Entscheidungsträgern wider. Das Vertrauen ist gesellschaftliche und staatliche fällt 2023 in allen Feldern signifikant negativer aus als in den Jahren zuvor.
Den geringsten Vertrauensverlust verzeichnet die Polizei. Ihr vertrauen zwar weiterhin 74.3% der Befragten, dies ist jedoch eine Verringerung um 4.6 Prozentpunkte im Vergleich zu 2021. Bei den übrigen Institutionen ist durchgehend ein deutlicherer Vertrauensverlust erkennbar. Das Vertrauen in Gerichte ist seit 2021 um 8.4 Prozentpunkte gefallen und erreicht 2023 mit 66.3% einen Tiefpunkt. In Bezug auf die Regierung und die politischen Parteien hat sich das Vertrauen jeweils fast halbiert: nur noch 30.8% der Bevölkerung spricht der Regierung ihr Vertrauen aus, den politischen Parteien vertrauen sogar nur noch 20.7%.

Dieser deutliche Rückgang des Vertrauens in politische Institutionen und Akteure zeigt sich auch in der Bewertung der Befragten zu Handlungsmotiven und Kompetenzen wichtiger Entscheidungsträger*innen aus Politik, Wissenschaft und Wirtschaft. Den höchsten Anstieg erfährt 2023 mit einem Anteil von 71.6% die Aussage, Entscheidungsträger*innen seien „unfähig, die aktuellen gesellschaftlichen Herausforderungen zu bewältigen“. Die Zustimmung zu dieser Aussage hat seit 2021 um 13.8 Prozentpunkte zugenommen. Ein ähnlich hoher Anteil der Befragten stimmt mit 71.1% der Aussage zu, die Entscheidungsträger*innen seien „an den Problemen der einfachen Leute nicht interessiert“. Auch hier liegt der Anstieg bei mehr als 10 Prozentpunkten. Für die Aussage, dass die Entscheidungsträger*innen „oft gegen die Interessen der Bevölkerung“ handelten², ist seit 2022 eine deutliche Steigerung der Zustimmungsrate zu erkennen. Diese liegt nun bei 67.2% und hat damit im Vergleich zu den letzten beiden Jahren, in denen die Rate stabil war, um 9 Prozentpunkte zugenommen.
²Die Formulierung dieser Aussage hat sich im Vergleich zu 2021 leicht verändert. Dort wurde die Formulierung „…handeln oft wider besseren Wissens gegen die Interessen der Bevölkerung“ verwendet.

Unabhängig von direkten eigenen Erlebnissen konnten die Befragten auch Angaben dazu machen, wie ihrer Meinung nach Menschen, die so sind wie sie selbst (die also der eigenen sozialen Gruppe angehören), durch staatliche Institutionen behandelt werden. Im Zentrum steht hier die subjektive Wahrnehmung von Respekt, Fairness und Anerkennung seitens der Vertreter*innen von Politik und staatlichen Behörden im direkten Kontakt mit Bürger*innen. Die Erfahrung von Respekt und Fairness sowie echtem Interesse sind entscheidend dafür, wie stark Menschen sich mit unserem politischen System und Staatswesen identifizieren und sich als zugehörig und anerkannt fühlen.
Diesbezüglich gab mehr als die Hälfte (57.2%) an, dass Menschen wie sie selbst ihrer Einschätzung nach von Politiker*innen nicht ernst genommen werden. Diese Rate hat seit 2022 deutlich zugenommen. Besser fiel die Bewertung staatlicher Behörden sowie der Polizei aus. Nur 24.3% bzw. 14.5% nehmen hier Formen einer respektlosen oder unfairen Behandlung wahr. Während sich die Bewertung der Behandlung durch die Polizei nur marginal um 2.2 Prozentpunkte verschlechtert hat, ist die Rate derer, die sich von Behörden respektlos behandelt fühlen, um 4 Prozentpunkte gestiegen.

Seit 2022 wird in der MiD Studie auch erfasst, wie verbreitet die Neigung zur Akzeptanz von Verschwörungsmythen ist –– d.h. von faktisch nicht belegbaren Annahmen, dass gesellschaftliche Ereignisse, Situationen oder Entwicklungen durch geheime Mächte gesteuert werden. Mit 41.7% findet in der dritten Welle die Annahme, dass es geheime Organisationen gebe, die großen Einfluss auf politische Entscheidungen haben, eine bemerkenswert hohe Zustimmung. Diese Rate ist im Vergleich zum Vorjahr deutlich gestiegen. 35.9% stimmten der Aussage zu, dass Politiker*innen und andere Führungspersönlichkeiten „Marionetten der dahinterstehenden Mächte“ seien. Auch hier ist ein Anstieg im Vergleich zu 2022 zu verzeichnen. Etwas weniger, aber dennoch sehr weit verbreitet ist die Zustimmung zu themenbezogenen Verschwörungsmythen. Über ein Viertel der Befragten (28.9%) stimmt Aussagen zur absichtlichen Geheimhaltung des Ursprungs des Corona-Virus zu und 14.7% glauben zudem, dass Studien, die den Klimawandel belegen, „meist gefälscht“ seien.

In der Summe zeigen die Befunde des Jahres 2023 zur Bewertung von Demokratie, Staat und Politik, dass das Vertrauen in die politischen Akteure (Regierung und Parteien) im Vergleich zu den Vorjahren deutlich gesunken ist. Grund- und Freiheitsrechte werden aber nach wie vor von der weit überwiegenden Mehrheit positiv bewertet.
Obwohl staatliche Institutionen im Bereich von Rechtspflege und Strafverfolgung, wie Polizei und Gerichte, nach wie vor weniger kritisch beurteilt werden als die Regierung oder die Parteien und Politiker, nahm das Vertrauen in Bezug auf alle politischen Akteure und staatlichen Institution in den letzten Jahren deutlich ab. Diese Vertrauensverluste werden begleitet von einer vermehrten Verbreitung der Wahrnehmung, dass die Entscheidungsträger in Deutschland inkompetent seien und Teile der Bevölkerung nicht ernst nehmen.
Diese kritische Beurteilung wird begleitet von einem Anstieg der Verbreitung einer Neigung zum Verschwörungsglauben. Insbesondere die Annahme des Einflusses geheimer Mächte und Organisationen auf politische Entscheidungsträger*innen ist vergleichsweise häufig und zudem auch ansteigend. Bei etwa einem Drittel der Bevölkerung ist eine Tendenz zu erkennen, Verschwörungsmythen zu übernehmen und so in Situationen hoher Verunsicherung einfache Erklärungen für schwierige Entwicklungen und Probleme einzusetzen.
Es ist von einem Geflecht wechselseitiger Einflüsse auszugehen. Ein allgemeines Misstrauen gegenüber Akteuren aus Politik und Wissenschaft wird hier verbunden mit Besorgnissen vor dem Hintergrund aktueller Krisen und Entwicklungen wie dem Zuzug von Geflüchteten, dem Klimawandel oder dem Krieg in der Ukraine. Dies wiederum geht mit vermehrter Verunsicherung und einem Anstieg der Skepsis gegenüber gesellschaftlichen und politischen Entscheidungsträger*innen einher.
| Unsere Studie legt einen ihrer Schwerpunkte auf politische und gesellschaftliche Zustände und deren Bewertung durch die Befragten. Nur wenn uns Menschen berichten, welche Erfahrungen und Beobachtungen sie machen, können wir erkennen, welche Probleme sie wahrnehmen und wie sie diese beurteilen. Deshalb fragen wir in unseren Studien einerseits nach den eigenen Erfahrungen mit Diskriminierung und andererseits nach Beobachtungen im eigenen Lebensumfeld, die auf Intoleranz, Vorurteile und politischen Extremismus hinweisen könnten. Dies hilft uns dabei, Aussagen darüber zu treffen, wie verbreitet solche Situationen und Erfahrungen in Deutschland sind und inwiefern sich Menschen davon bedroht fühlen. |
Eigene Erfahrungen mit Diskriminierung
Insgesamt gibt fast ein Viertel der Befragten an (23%), in den letzten 12 Monaten persönlich mindestens eine der von uns erfragten Formen von Diskriminierung erlebt zu haben. Hier zeigen sich allerdings erhebliche Unterschiede in Abhängigkeit von sozialen Merkmalen der Befragten (Altersgruppe, Geschlecht, Migrationshintergrund oder Religionszugehörigkeit).

Diskriminierungen wegen der Hautfarbe, der ethnischen Herkunft oder der Nationalität wurden etwas häufiger von Männern berichtet und deutlich häufiger von jüngeren als von älteren Personen. So gaben 30.1% der Befragten unter 40 Jahren an, aus diesen Gründen diskriminiert worden zu sein. Bei Personen ab 60 Jahren liegt die Rate nur bei 7.1%.
Hervorzuheben ist, dass Menschen mit Migrationshintergrund (49.8%) und Personen islamischen Glaubens (69.9%) eine solche herkunftsbezogene Diskriminierung im letzten Jahr um ein Vielfaches häufiger erlebt haben als andere Personen.
Ein ähnliches Bild findet sich für die Verbreitung von Diskriminierungen wegen der Religion bzw. des Glaubens. Auch diese wurden etwas häufiger von jüngeren Personen zwischen 18 und 40 Jahren berichtet. Deutlich gehäuft tritt eine solche religionsbezogene Diskriminierung bei Personen mit Migrationshintergrund (29.3%) sowie bei Muslim*innen (64.4%) auf. Bei beiden Gruppen, insbesondere aber bei der letztgenannten, ist daher von einem hohen Risiko der Mehrfachdiskriminierung auszugehen.

Insgesamt sind die Raten der Personen, die persönliche Diskriminierungserfahrungen gemacht haben, zwischen 2021 und 2023 auf hohem Niveau nahezu unverändert.
Wahrnehmung von Intoleranz und politischen Extremismen im eigenen Lebensumfeld
Neben persönlich erlebten, eigenen Diskriminierungserfahrungen wurden die Befragten auch gebeten, über Wahrnehmungen von Geschehnissen in ihrem sozialen Lebensumfeld zu berichten, die sie beobachtet haben und die politisch bedeutsam sein könnten.
Knapp ein Drittel der Befragten (33.8%) gibt an, in den letzten 12 Monaten mindestens selten miterlebt zu haben, dass eine andere Person „wegen ihrer Hautfarbe oder ihrer ethnischen Herkunft beleidigt oder angegriffen wurde“. Antisemitismus wird im direkten Vergleich seltener beobachtet (8.6%), während Islamfeindlichkeit von einem Viertel der Befragten berichtet wird (25.4%). Formen von Fremdenfeindlichkeit und Rassismus sind also für recht viele Befragte ein direkt wahrnehmbares Problem in ihrem Lebensumfeld.

Weiter wurden auch Fragen zu Wahrnehmungen und Beobachtungen verschiedener politischer Extremismen – in Form von linksextremistischen, rechtsextremistischen und islamistischen Aktivitäten – im eigenen Lebensumfeld gestellt.
Hier zeigt sich, dass rechtsextremistische Aktivitäten im Vergleich am häufigsten beobachtet wurden (38.8%), gefolgt von linksextremistischen Aktivitäten (36.3%). Am seltensten wurden islamistische Aktivitäten beobachtet (28.1%). Das Ausmaß der Wahrnehmungen von Rechtsextremismus hat seit 2021 nur leicht zugenommen, die Wahrnehmung von Linksextremismus und Islamismus ist demgegenüber im hier betrachteten Zeitraum signifikant gestiegen.
Bei einer Aufschlüsselung der Beobachtungshäufigkeiten nach regionalen Merkmalen zeigt sich, dass in mittleren Städten und Großstädten die Raten derer, die solche Aktivitäten mindestens „selten“ wahrgenommen haben, jeweils höher ausfällt als bei Befragten, die in kleineren Orten leben. Dies ist allerdings auch zu erwarten, da durch die höhere Bevölkerungsdichte in einer Großstadt im Vergleich zu kleineren Orten die Möglichkeit zur Beobachtung solcher Aktivitäten häufiger besteht und politische Protestgeschehnisse generell eher in größeren Städten stattfinden.
Ein weiterer Unterschied der Beobachtungshäufigkeiten findet sich im Ost-West-Vergleich, wobei sowohl rechts- als auch linksextremistische Aktivitäten in den östlichen Bundesländern deutlich häufiger beobachtet wurden als in westlichen Bundesländern. Im Westen wurden solche Beobachtungen von jeweils knapp einem Drittel (35% bzw. 32.2%) der Befragten gemacht, im Osten äußerte dies über die Hälfte der Befragten (54.1% bzw. 53.2%).



Neben der Häufigkeit der Beobachtung von politisch-extremistischen Aktivitäten im eigenen Lebensumfeld wurde auch erfragt, inwiefern sich Menschen in ihrem Lebensumfeld persönlich von politisch motivierter Gewalt bedroht fühlen.
Das höchste Bedrohungsgefühl geht demnach von rechtsextremistischer Gewalt aus, von der sich 17.9% der Befragten im Jahr 2023 „etwas“ oder „sehr“ bedroht fühlten. Bemerkenswert ist, dass die Rate der gefühlten Bedrohung durch rechtsextremistische Gewalt in den ostdeutschen Bundesländern zwischen 2021 und 2023 abgenommen hat. Die Bedrohungsgefühle bezüglich der anderen beiden Formen extremistischer Gewalt sind dort hingegen seit 2021 auf niedrigem Niveau stabil.
Auffällig ist weiter, dass mit einem Anteil von 17% die Bedrohung durch islamistische Gewalt am zweithöchsten ist, obwohl Beobachtungen solcher Aktivitäten im Vergleich der drei Extremismusformen am seltensten berichtet wurden. Insgesamt fällt das Ausmaß der empfundenen Bedrohung aber geringer aus, als es die Beobachtungshäufigkeiten vermuten lassen könnten.



Diese Auswertungen zeigen beispielhaft, dass die Beobachtungshäufigkeit bestimmter Aktivitäten nicht notwendig auch mit einer entsprechenden Häufigkeit von Bedrohungswahrnehmungen verbunden sein muss. Vielmehr ist anzunehmen, dass hier weitere Faktoren eine Rolle spielen. Ziel der Studie „Menschen in Deutschland“ ist es, genau solche Faktoren zu identifizieren und aufzuzeigen, wie sich gesellschaftliche Situationen und ihre Veränderungen auf das Leben der Menschen in Deutschland auswirken.
Ein wichtiges Thema ist dabei vor allem die Frage, wie sich die Einschätzungen und subjektiven Bewertungen von Politik und Gesellschaft im weiteren Zeitverlauf in den nächsten Jahren entwickeln und möglicherweise auch wandeln. Damit verbunden ist die Frage, wie sich das auf die Verbreitung von Formen des politischen Extremismus sowie der Akzeptanz bzw. Ablehnung unserer Demokratie auswirkt.
Die Befragungen im Rahmen unserer Studie „Menschen in Deutschland“ werden in den nächsten Jahren kontinuierlich fortgeführt, so dass Veränderungen sichtbar gemacht, deren mögliche Hintergründe beleuchtet und die oben genannten Fragen damit auch weiter verfolgt und beantwortet werden können.
|
Dieser kurze Bericht sollte einen ersten Einblick in Fragestellungen und ausgewählte Befunde unserer Untersuchung „Menschen in Deutschland 2022“ geben. Wir möchten diese Gelegenheit auch nutzen, uns bei allen Befragten ganz herzlich für ihre Zeit zu bedanken. Diesen Bericht stellen wir auch im PDF-Format als Download zur Verfügung. Für Rückfragen kontaktieren Sie gerne unser Team an der Universität Hamburg über |
Weitere Ergebnisse der Repräsentativbefragung „Menschen in Deutschland 2023“
In folgenden Buchbeiträgen, Forschungs- und Kurzberichten sind weitere Erkenntnisse auf Basis der Daten der Studie MiD 2023 dokumentiert. Diese Beiträge können jeweils auch online eingesehen oder als Download kostenlos genutzt werden.
Wetzels, P., Fischer, J.M.K., Farren, D., Brettfeld, K. & Endtricht, R. (2023). Menschen in Deutschland 2023. Dritte Welle der bundesweit repräsentativen Befragung: Durchführung, Rücklauf, Erhebungsinstrument und Codebuch. MOTRA Forschungsbericht No. 12 aus dem Institut für Kriminologie an der Fakultät für Rechtswissenschaft. Hamburg: Universität Hamburg. https://doi.org/10.25592/uhhfdm.13846
Erste Ergebnisse der Repräsentativbefragung „Menschen in Deutschland 2022“
| Die Studie „Menschen in Deutschland“ (MiD) wird von der Universität Hamburg im Rahmen des bundesweiten Forschungsverbundes MOTRA durchgeführt. Sie untersucht Meinungen und Haltungen von Menschen ab 18 Jahren in Deutschland zu politischen, gesellschaftlichen und religiösen Themen. Dazu wird seit 2021 jedes Jahr eine repräsentative Befragung der erwachsenen Bevölkerung in ganz Deutschland durchgeführt, in der jeweils über 4.000 Menschen zu diesen Themen zu Wort kommen. Im Folgenden werden erste Ergebnisse der MiD-Studie aus dem Jahr 2022 (zweite Welle) vorgestellt und Veränderungen von gesellschaftlichen und politischen Einstellungen im Vergleich zur ersten Welle aus 2021 dargestellt. |
Menschen in Deutschland 2022 – Wer sind unsere Teilnehmer*innen? 1
|
|
![]() |
|
![]() |
|
| |
|
![]() |
|
| 1 Alle Auswertungen, über die hier berichtet wird, wurden mit gewichteten Daten vorgenommen. Dies stellt sicher, dass die Stichprobe in Bezug auf wichtige zentrale Merkmale auch den Verhältnissen der erwachsenen Bevölkerung in Deutschland entspricht. Dadurch können die Ergebnisse als repräsentativ angesehen und auf alle erwachsenen Einwohner*innen Deutschlands verallgemeinert werden. Weitere Informationen zum angewendeten Gewichtungsverfahren und zur Größe einzelner Teilstichproben finden Sie im Forschungsbericht No. 6 zur zweiten Welle der MiD Studie, der online auf der Website des Lehrstuhls für Kriminologie der Universität Hamburg verfügbar ist. . |
Sorgen und Verunsicherung angesichts gesellschaftlicher Herausforderungen und Veränderungen
Sorgen und Verunsicherungen waren unter den Befragten im Jahr 2022 weit verbreitet. Eine große Mehrheit äußerte Besorgnisse über die Auswirkungen aktueller politischer und gesellschaftlicher Entwicklungen wie drohende Wirtschaftskrisen, Klimawandel, Corona-Pandemie oder militärische Konflikte.
Die meisten Sorgen machten sich die Menschen im Jahr 2022 über Wirtschaftskrisen und dadurch drohende steigende Armut. Beinahe die Hälfte (47.1%) gab an, „sehr besorgt“ darüber zu sein, weitere 41.4% waren „etwas besorgt“ angesichts solcher Entwicklungen. Ähnlich hoch waren mit insgesamt 86.5% die Besorgnisse mit Blick auf die Folgen des Klimawandels sowie die Besorgnis, „dass Deutschland öfter in militärische Konflikte hineingezogen werden könnte“ (insgesamt 83.7%). Demgegenüber gab nur etwas mehr als die Hälfte der Befragten an, besorgt über die zunehmende Digitalisierung (55.3%) und den Zuzug von Flüchtlingen nach Deutschland (56.6%) zu sein.
Die Ergebnisse des Jahres 2022 lassen sich wegen veränderter Formulierungen der Fragen nicht direkt mit denen des Vorjahres vergleichen. Dennoch ist die Tendenz erkennbar, dass die Mehrheit der Befragten sich in einem ähnlich hohen Ausmaß wie bereits 2021 weiterhin Sorgen angesichts aktueller Entwicklungen macht (für weitere Informationen vgl. die Kurzergebnisse der Studie MiD 2021). Insbesondere die Sorge, dass Deutschland öfter in militärische Konflikte hineingezogen werden könnte, ist im Vergleich zum Vorjahr deutlich angestiegen (von 70% auf 83.7%), was angesichts des zwischenzeitlichen Ausbruchs des Ukraine-Krieges zu erwarten war.

Über solche konkret benannten Herausforderungen und Sorgen hinaus wurde auch allgemeiner erfasst, wie verbreitet Gefühle der Verunsicherung aufgrund gesellschaftlicher Veränderungen und Neuerungen in der Bevölkerung sind. Die höchste Zustimmung erhielten, wie schon im Jahr 2021, Aussagen zu Verunsicherungen aufgrund schneller Veränderungen (72.4%), und das Gefühl, „auf alles gefasst sein“ zu müssen (77.3%). Während der Anteil der Zustimmung auf die erste Aussage 2022 genauso hoch ist wie im Jahr 2021, hat sich die Zustimmung auf die zweite Aussage um mehr als 6 Prozentpunkte erhöht. Anstiege zeigen sich auch für die Aussagen, dass man unsicher werde, wenn man die Ereignisse der letzten Jahre betrachtet (von 54.4% auf 64.4%) sowie die Feststellung, dass die Dinge heute so schwierig geworden sind, dass man „nicht mehr weiß, was los ist“ (von 38.8% auf 46.3%).
Am wenigsten Zustimmung fand hingegen die Aussage „Heutzutage kann man sich auf niemanden mehr verlassen“ mit 33.5%. Zwar lässt dies auf eine eher geringe Unsicherheit im Bereich persönlicher sozialer Verbundenheit schließen, aber auch hier ist ein deutlicher Anstieg der Rate der insoweit Verunsicherten um 6.7 Prozentpunkte zu erkennen.
Insgesamt haben damit im Vergleich zum Vorjahr alle Aussagen mehr Zustimmung erhalten. Aktuelle Krisen und Veränderungen, die sich zwischen den beiden Befragungen ereignet haben, lösen demnach eine zum Teil deutlich erhöhte allgemeine Verunsicherung aus, die zusammengenommen mehr als die Hälfte der Bevölkerung betrifft.
Bewertung der Demokratie und Vertrauen in die Politik
Die Demokratie als Basis des politischen Systems in Deutschland erfährt in der Bevölkerung nach wie vor eine breite Zustimmung: 85.8% der Befragten halten die parlamentarische Demokratie für die beste Staatsform. Zugleich glaubten aber 2022 deutlich weniger Menschen als noch 2021, dass mit der Demokratie die Probleme in Deutschland tatsächlich gelöst werden können. Zwar stimmt eine Mehrheit von 78.1% der Befragten der entsprechenden Aussage zu. Diese Zustimmungsrate ist aber im Vergleich zum Vorjahr um 9.7 Prozentpunkte gesunken. Trotz einer sehr hohen allgemeinen Akzeptanz der Demokratie als Staatsform zweifeln demnach zunehmend mehr Personen daran, dass damit auch die Lösung aktueller Probleme gelingen kann.
Die Akzeptanz wichtiger Grundrechte und Freiheiten wie die Versammlungsfreiheit („Jeder Bürger sollte das Recht haben, für seine Überzeugungen auf die Straße zu gehen“), die Meinungsfreiheit („Alle Minderheiten sollten das Recht haben, ihre Meinung frei zu äußern“) und die Pressefreiheit („Die Freiheit der Presse in unserem Land muss geschützt werden“) ist demgegenüber etwas größer geworden. Insbesondere die positiven Bewertungen der Meinungsfreiheit und der Versammlungsfreiheit haben um jeweils mehr als 4 Prozentpunkte zugenommen. Insgesamt erfahren alle hier erfassten Grundrechte mit Raten von 90.2% bis 95% eine sehr breite Zustimmung.

Die hier erkennbar angestiegene Skepsis und die Zweifel mit Blick auf die Problemlösefähigkeit der Demokratie angesichts aktueller Herausforderungen spiegeln sich auch in den Angaben zum Vertrauen in relevante politische Institutionen wider.
Zwar erwies sich das Vertrauen der Bevölkerung in die Polizei und die Gerichte mit 77.8% bzw. 71.9% als ungebrochen hoch, in Bezug auf politische Akteure fiel das Vertrauen jedoch deutlich geringer aus: Den politischen Parteien sowie der Regierung vertrauten mit 30% bzw. 46.3% weniger als die Hälfte der Menschen in Deutschland. Im Vergleich zum Vorjahr ist dieses Vertrauen 2022 zudem in dieser Hinsicht jeweils um knapp 10 Prozentpunkte gesunken, was eine sehr beträchtliche Verschlechterung anzeigt.

Dieser deutliche Rückgang des allgemeinen Vertrauens in politische Institutionen und Akteure, zeigt sich auch in den Bewertungen und Meinungen der Befragten mit Blick auf Einschätzungen der Motive und Kompetenzen wichtiger Entscheidungsträger*innen aus Politik, Wissenschaft und Wirtschaft. Die meiste Zustimmung erhielt diesbezüglich mit 63.8% die Aussage, diese Akteure seien „an den Problemen der einfachen Leute nicht interessiert“. Ebenfalls deutlich mehr als die Hälfte der Befragten (60.9%) gab an, Entscheidungsträger*innen seien „unfähig, die aktuellen gesellschaftlichen Herausforderungen zu bewältigen“. Auch die Aussage, dass diese „oft gegen die Interessen der Bevölkerung“ handelten2 , erhielt eine ähnlich hohe Zustimmung (58%). Die Zustimmungsraten liegen insgesamt in einem ähnlichen Bereich wie schon im Jahr 2021, wobei sich allerdings für die Annahmen von mangelndem Interesse sowie der Unfähigkeit zur Problemlösung tendenziell Anstiege finden lassen.
| 2 Die Formulierung dieser Aussage hat sich im Vergleich zu 2021 leicht verändert. Dort wurde die Formulierung „…handeln oft wider besseren Wissens gegen die Interessen der Bevölkerung“ verwendet. |

Die Befragten wurden ferner gebeten, unabhängig von direkten eigenen Erlebnissen auch Angaben dazu zu machen, wie Menschen, die so sind wie sie selbst (die also der eigenen sozialen Gruppe angehören), durch staatliche Institutionen behandelt werden.
Im Zentrum steht hier die subjektive Wahrnehmung von Respekt, Fairness und Anerkennung seitens der Vertreter*innen von Politik und staatlichen Behörden im direkten Kontakt mit Bürger*innen. Dies hat nach den Erkenntnissen der Forschung eine hohe Bedeutung für die Akzeptanz dieser Institutionen und von gesellschaftlichen Regeln, Werte und Gesetze, die durch diese Institutionen repräsentiert werden. Die Erfahrung von Respekt und Fairness sowie echtem Interesse sind entscheidend dafür, wie stark Menschen sich mit unserem politischen System und Staatswesen identifizieren und sich als zugehörig und anerkannt fühlen.
Diesbezüglich gab , ähnlich wie schon 2021; fast die Hälfte (48.6%) an, dass Menschen wie sie selbst ihrer Einschätzung nach von Politiker*innen nicht ernst genommen werden. Besser fiel die Bewertung staatlicher Behörden allgemein sowie der Polizei im Speziellen aus. Nur 23% bzw. 14.8% nahmen hier Formen einer respektlosen oder unfairen Behandlung wahr. Im Vergleich zu 2021 ist aber auch hier ein leichter Anstieg um jeweils etwas mehr als 2 Prozentpunkte zu verzeichnen.

Im Jahr 2022 wurde erstmals auch erfasst, wie verbreitet die Neigung zur Akzeptanz von Verschwörungsmythen ist –– d.h. von faktisch nicht belegbaren Annahmen, dass gesellschaftliche Ereignisse, Situationen oder Entwicklungen durch geheime Mächte gesteuert werden. Mit 35.5% fand die Annahme, dass es geheime Organisationen gebe, die großen Einfluss auf politische Entscheidungen haben, eine bemerkenswert hohe Zustimmung. 29.6% stimmten darüber hinaus der Aussage zu, dass Politiker*innen und andere Persönlichkeiten „Marionetten der dahinterstehenden Mächte“ seien.
Etwas weniger weit verbreitet war die Zustimmung zu themenbezogenen Verschwörungsmythen. Jeweils etwa ein Viertel der Befragten stimmte Aussagen zur absichtlichen Geheimhaltung des Ursprungs des Corona-Virus (25.8%) und der gefährlichen Nebenwirkungen von Impfungen (23%) zu. Mehr als jede*r Zehnte glaubte zudem, dass „Studien, die einen Klimawandel belegen, meist gefälscht“ seien.

In der Summe zeigen die Befunde des Jahres 2022 zur Bewertung von Demokratie, Staat und Politik, dass das Vertrauen in die politischen Akteure (Regierung und Parteien) im Vergleich zum Vorjahr deutlich gesunken ist. Dies geht einher mit einer wachsenden Skepsis in Bezug auf die Fähigkeit der Demokratie, die aktuellen Probleme auch tatsächlich lösen zu können. Grund- und Freiheitsrechte werden aber nach wie vor von der weit überwiegenden Mehrheit positiv bewertet. Auch staatliche Institutionen im Bereich von Rechtspflege und Strafverfolgung, wie Polizei und Gerichte genießen nach wie vor hohes Vertrauen und werden weniger kritisch beurteilt als politische Akteure in der Regierung und den Parteien. Insgesamt nahm diese Akzeptanz und das Vertrauen auf allen Ebenen 2022 im Vergleich zum Vorjahr jedoch ab.
Die kritische Beurteilung relevanter Entscheidungsträger*innen aus Politik und Gesellschaft setzt sich teilweise auch in der Verbreitung der Neigung zum Verschwörungsglauben fort. Insbesondere die Annahme, dass geheime Mächte und Organisationen Einfluss auf politische Entscheidungsträger*innen ausüben, betrifft zwar eine Minderheit, ist aber trotzdem vergleichsweise häufig anzutreffen: Bei mehr als einem Viertel der Bevölkerung ist eine solche Tendenz zu erkennen, Verschwörungsmythen zu übernehmen und so in einer Situation subjektiv hoher Verunsicherung einfache Erklärungen für schwierige und bedrohliche Entwicklungen und Probleme einzusetzen.
Es ist von einem Geflecht wechselseitiger Einflüsse auszugehen. Ein allgemeines Misstrauen gegenüber Akteuren aus Politik und Wissenschaft wird hier verbunden mit Besorgnissen über aktuelle Krisen und Entwicklungen wie der Corona-Pandemie, dem Klimawandel oder dem Krieg in der Ukraine. Dies wiederum geht mit vermehrter Verunsicherung und einem Anstieg der Skepsis gegenüber gesellschaftlichen und politischen Entscheidungsträger*innen wie auch der Funktions- und Problemlösefähigkeit der Demokratie einher.
| Unsere Studie legt einen ihrer Schwerpunkte auf politische und gesellschaftliche Zustände und deren Bewertung durch die Befragten. Nur wenn uns Menschen berichten, welche Erfahrungen und Beobachtungen sie machen, können wir erkennen, welche Probleme sie wahrnehmen und wie sie diese beurteilen. Deshalb fragen wir in unseren Studien einerseits nach den eigenen Erfahrungen mit Diskriminierung und andererseits nach Beobachtungen im eigenen Lebensumfeld, die auf Intoleranz, Vorurteile und politischen Extremismus hinweisen könnten. Dies hilft uns dabei, Aussagen darüber zu treffen, wie verbreitet solche Situationen und Erfahrungen in Deutschland sind und inwiefern sich Menschen davon bedroht fühlen. |
Eigene Erfahrungen mit Diskriminierung
Insgesamt gab mehr als die Hälfte der Befragten an, in den letzten 12 Monaten persönlich eine Form von Diskriminierung erlebt zu haben. Hier zeigen sich allerdings erhebliche Unterschiede je nach Art der Diskriminierung und den Merkmalen der Befragten (Altersgruppe, Geschlecht, Migrationshintergrund, Religionszugehörigkeit).
Diskriminierungen wegen der Hautfarbe, der ethnischen Herkunft oder der Nationalität wurden etwas häufiger von Männern berichtet und deutlich häufiger von jüngeren als von älteren Personen. So gaben 29% der Befragten unter 40 Jahren an, aus diesen Gründen diskriminiert worden zu sein. Bei Personen ab 60 Jahren liegt die Rate nur bei 9.4%.
Hervorzuheben ist, dass Menschen mit Migrationshintergrund (52.3%) und Personen islamischen Glaubens eine solche herkunftsbezogene Diskriminierung im letzten Jahr deutlich häufiger erlebt haben als andere Personen. Zudem zeigt sich, dass solche Erfahrungen unter Personen mit islamischer Religion im Jahr 2022 mit einem Anstieg von 67.2% auf 73.5% tendenziell zugenommen haben.

Ein ähnliches Bild findet sich für die Verbreitung von Diskriminierungen wegen der Religion bzw. des Glaubens. Auch diese wurden häufiger von jüngeren Personen zwischen 18 und 40 Jahren berichtet. Deutlich gehäuft tritt eine solche religionsbezogene Diskriminierung bei Personen mit Migrationshintergrund (29.2%) sowie bei Muslim*innen (67%) auf. Bei beiden Gruppen, insbesondere aber bei der letztgenannten, ist daher von einem hohen Risiko der Mehrfachdiskriminierung auszugehen, das zudem – wie schon in Bezug auf herkunftsbezogene Diskriminierungen festzustellen war – im letzten Jahr leicht angestiegen ist.

Für die geschlechtsbezogene Diskriminierung zeigen sich die deutlichsten Unterschiede im Vergleich zum Vorjahr. Insgesamt gaben 21.2% der Befragten an, dass sie aufgrund ihres Geschlechts diskriminiert wurden, wobei diese Rate bei Frauen (32.1%) deutlich höher ausfällt als bei Männern (10%). Berichte über solche Diskriminierungserfahrungen sind seit 2021 bei Frauen, aber auch bei Personen ab 40 Jahren um jeweils mehr als 5 Prozentpunkte angestiegen. Auch für Personen ohne Migrationshintergrund sowie bei Personen mit islamischer oder keiner Religionszugehörigkeit lässt sich ein ähnlicher Trend beobachten.
Insgesamt finden sich damit im Jahr 2022 insbesondere unter den Frauen deutlich mehr Personen, die über geschlechtsbezogene Diskriminierungserfahrungen berichten. Die Entwicklung der Verteilung über die Altersgruppen deuten darauf hin, dass insbesondere unter den Befragten ab 40 Jahre aufwärts die Sensibilität für entsprechend problematische Situationen und damit die Wahrnehmung von geschlechtsspezifischer Diskriminierung angestiegen ist, was wesentlich zu dem insgesamt zu erkennenden Zuwachs beigetragen haben dürfte.
Wahrnehmung von Intoleranz und politischen Extremismen im eigenen Lebensumfeld
Neben den Fragen zu eigenen Diskriminierungserfahrungen wurden die Befragten auch gebeten, über Wahrnehmungen von Geschehnissen in ihrem sozialen Lebensumfeld zu berichten, die sie beobachtet haben und die politisch bedeutsam sein könnten. Solche Beobachtungen wurden 2022 insgesamt etwas häufiger angegeben als im Jahr zuvor. Die meisten Befragten (44.2%) gaben an, in den letzten 12 Monaten mindestens selten miterlebt zu haben, dass „Menschen wegen ihrer ethnischen Herkunft beleidigt oder angegriffen wurden“. Knapp ein Drittel der Befragten (33.2%) hat selbst beobachtet, „dass eine andere Person wegen ihrer Hautfarbe beschimpft oder angegriffen wurde“. Formen von Fremdenfeindlichkeit und Rassismus sind also weiterhin für viele Befragte ein direkt wahrnehmbares Problem in ihrem Lebensumfeld.
Auch Hinweise auf politischen Extremismus und Radikalisierungsprozesse wurden 2022 von den Befragten teilweise häufiger wahrgenommen als 2021. Beobachtungen, „dass Menschen für einen islamischen Gottesstaat geworben haben“ (23.8%) und „dass sich jemand einer radikalen politischen Gruppe angeschlossen hat“ (19%), sind im vergangenen Jahr um 6.5 bzw. 6 Prozentpunkte gestiegen.

Dies ist ein erster Hinweis auf eine vermehrte Wahrnehmung von Fällen politischen Extremismus im vergangenen Jahr.
Die Befragten wurden darüber hinaus auch zu ihren Wahrnehmungen und Beobachtungen verschiedener politischer Extremismen – in Form von linksextremistischen, rechtsextremistischen und islamistischen Aktivitäten – im eigenen Lebensumfeld befragt.
Hier zeigt sich, dass rechtsextremistische Aktivitäten am häufigsten beobachtet wurden (38.5%), gefolgt von linksextremistischen Aktivitäten (32.9%). Am seltensten wurden islamistische Aktivitäten beobachtet (21.6%). Das Ausmaß solcher Wahrnehmungen hat sich damit im Vergleich zum Vorjahr kaum verändert, allerdings wurde etwas weniger von islamistischen Aktivitäten im eigenen Lebensumfeld berichtet.
Bei einer Aufschlüsselung der Beobachtungshäufigkeiten nach regionalen Merkmalen zeigt sich, dass in mittleren Städten und Großstädten die Raten derer, die solche Aktivitäten mindestens „selten“ wahrgenommen haben, jeweils höher ausfällt als bei Befragten, die in kleineren Orten leben. Dies war allerdings auch zu erwarten, da durch die höhere Bevölkerungsdichte in einer Großstadt im Vergleich zu kleineren Orten die Möglichkeit zur Beobachtung solcher Aktivitäten häufiger besteht und politische Protestgeschehnisse generell eher in größeren Städten stattfinden.
Ein weiterer Unterschied der Beobachtungshäufigkeiten findet sich im Ost-West-Vergleich, wobei sowohl rechts- als auch linksextremistische Aktivitäten in den östlichen Bundesländern deutlich häufiger beobachtet wurden als in westlichen Bundesländern. Im Westen wurden solche Beobachtungen von jeweils knapp einem Drittel (29.9% bzw. 34.9%) der Befragten gemacht, im Osten äußerte dies ungefähr die Hälfte der Befragten (45.6% bzw. 53.9%). Rechtsextremistische Aktivitäten wurden 2022 im Vergleich zu 2021 im Osten deutlich häufiger beobachtet, linksextremistische Aktivitäten hingegen tendenziell seltener. Im Bereich des islamistischen Extremismus schwanken die Werte je nach regionaler Verortung der Befragten im Vergleich zum Vorjahr um bis zu +/- 4 Prozentpunkte. Ein eindeutiger Trend ist somit bei keinem der drei extremistischen Phänomenbereiche zu erkennen.



Neben der Häufigkeit der reinen Beobachtung von politisch-extremistischen Aktivitäten im eigenen Lebensumfeld wurde auch erfragt, inwiefern sich Menschen in ihrem Lebensumfeld persönlich von politisch motivierter Gewalt bedroht fühlen.
Das höchste Bedrohungsgefühl geht demnach von rechtsextremistischer Gewalt aus, von der sich 19.5% der Befragten im Jahr 2022 etwas oder sehr bedroht fühlten. Auffällig ist, dass mit einem Anteil von 15% die Bedrohung durch islamistische Gewalt folgt, obwohl Beobachtungen solcher Aktivitäten im Vergleich der drei Extremismusformen am seltensten berichtet wurden. Insgesamt fällt das Ausmaß der empfundenen Bedrohung aber geringer aus, als es die Beobachtungshäufigkeiten vermuten lassen könnten. Im Vergleich zum Vorjahr sind hier keine Veränderungen zu verzeichnen.
Wie schon bei der Beobachtung extremistischer Aktivitäten zeigt sich auch in Bezug auf die Gefühle der Bedrohung durch politisch-extremistische Gewalt, dass diese in Großstädten häufiger sind.
Veränderungen zwischen 2022 und 2021 beziehen sich in erster Linie auf mittlere Großstädte (100.000 bis 500.000 Einwohner*innen), in denen sich Bedrohungsgefühle in Bezug auf linksextremistische und islamistische Gewalt verringert haben. Im Kontrast dazu zeigt sich eine im Vergleich zum Vorjahr erhöhte Rate der Bedrohungsgefühle wegen islamistischer Gewalt in Großstädten mit über 500.000 Einwohnern.
Das Ausmaß der empfundenen Bedrohung durch rechtsextremistische Gewalt ist ferner in ostdeutschen Bundesländern tendenziell zurückgegangen, in Bezug auf islamistische und linksextremistische Gewalt aber nahezu gleich geblieben.



Diese Auswertungen zeigen beispielhaft, dass die Entwicklung der Beobachtungshäufigkeit bestimmter Aktivitäten nicht notwendig auch mit einer entsprechenden Größenordnung der Bedrohungswahrnehmungen verbunden sein muss. Vielmehr ist anzunehmen, dass hier weitere Faktoren eine Rolle spielen.
Ziel der Studie „Menschen in Deutschland“ ist es, genau solche Faktoren zu identifizieren und aufzuzeigen, wie sich gesellschaftliche Situationen und ihre Veränderungen auf das Leben der Menschen in Deutschland auswirken.
Ein wichtiges Thema ist dabei vor allem die Frage, wie sich die Einschätzung von Politik und Gesellschaft im weiteren Zeitverlauf in den nächsten Jahren entwickeln und möglicherweise auch wandeln wird und wie sich das auf die Verbreitung von Formen des politischen Extremismus sowie der Akzeptanz bzw. Ablehnung unserer Demokratie auswirkt. Die Befragungen im Rahmen unserer Studie „Menschen in Deutschland“ werden in den nächsten Jahren kontinuierlich weitergeführt, so dass Veränderungen sichtbar gemacht und deren mögliche Hintergründe beleuchtet werden können.
|
Dieser kurze Bericht sollte einen ersten Einblick in Fragestellungen und ausgewählte Befunde unserer Untersuchung „Menschen in Deutschland 2022“ geben. Wir möchten diese Gelegenheit auch nutzen, uns bei allen Befragten ganz herzlich für ihre Zeit zu bedanken.
Für Rückfragen kontaktieren Sie gerne unser Team an der Universität Hamburg über |
Weitere Ergebnisse der Repräsentativbefragung „Menschen in Deutschland 2022“
In folgenden Buchbeiträgen sowie Forschungs- und Kurzberichten sind weitere Erkenntnisse auf Basis der Daten der Studie MiD 2022 dokumentiert. Diese Beiträge können jeweils auch online eingesehen oder als Download kostenlos genutzt werden.
Fischer, J.M.K., Farren, D., Brettfeld, K., Endtricht, R. & Wetzels, P. (2023). Menschen in Deutschland 2022. Zweite Welle der bundesweit repräsentativen Befragung: Durchführung, Rücklauf, Erhebungsinstrument und Codebuch. MOTRA Forschungsbericht No. 6 aus dem Institut für Kriminologie an der Fakultät für Rechtswissenschaft. Hamburg: Universität Hamburg. https://doi.org/10.25592/uhhfdm.11415
Erste Ergebnisse der Repräsentativbefragung „Menschen in Deutschland 2021“
| Die Studie „Menschen in Deutschland“ (MiD) ist ein Forschungsprojekt der Universität Hamburg im Forschungsverbund MOTRA. Die Studie untersucht Meinungen und Haltungen der Menschen zu politischen, gesellschaftlichen und religiösen Themen. Dazu werden ab 2021 jährlich wiederholte repräsentative Befragungen der erwachsenen Bevölkerung in ganz Deutschland durchgeführt, in denen über 4.000 Menschen zu diesen Themen zu Wort kommen. Im Folgenden werden erste Ergebnisse der MiD-Studie aus dem Jahr 2021 vorgestellt. Diese zeigen, was Menschen in Deutschland bewegt und wie sie aktuelle Entwicklungen in unserer Gesellschaft beurteilen. |
Menschen in Deutschland 2021 – Wer sind unsere Teilnehmer*innen? 1
|
|
|
|
|
|
|
|
|
|
|
| 1 Alle Auswertungen, über die hier berichtet wird, wurden mit gewichteten Daten vorgenommen. Dies stellt sicher, dass die Stichprobe in Bezug auf wichtige zentrale Merkmale auch den Verhältnissen der erwachsenen Bevölkerung in Deutschland entspricht. Dadurch können die Ergebnisse als repräsentativ angesehen und auf alle erwachsenen Einwohner*innen Deutschlands verallgemeinert werden. Weitere Informationen zum angewendeten Gewichtungsverfahren und zur Größe einzelner Teilstichproben finden Sie im Forschungsbericht No. 2 zur Studie MiD 2021, der online auf der Website des Lehrstuhls für Kriminologie der Universität Hamburg verfügbar ist. |
Sorgen und Verunsicherung angesichts gesellschaftlicher Herausforderungen und Veränderungen
Ein großer Anteil der Befragten des Jahres 2021 äußerte Besorgnis bezüglich der Auswirkungen aktueller Entwicklungen wie der Corona-Pandemie, drohender Wirtschaftskrisen und des Klimawandels.
Die größten Sorgen machten sich Menschen im Frühjahr 2021 über die Corona-Pandemie. Über die Hälfte der Befragten (57%) gab an, „sehr besorgt“ darüber zu sein, „dass die Corona-Pandemie noch lange Zeit andauert und das Gesundheitssystem überfordern könnte“. Weitere 32% gaben an, „etwas besorgt“ darüber zu sein. Ebenso hoch war das Ausmaß der Besorgnis, dass der Klimawandel „zunehmend zu Dürren, Ernteeinbußen und Überschwemmungen führen könnte“. Ein gleiches Ausmaß der Besorgnis erreichten Wirtschaftskrisen und eine damit einhergehende zunehmende Armut in Deutschland.
Auch darüber, dass Deutschland durch eine Zunahme kriegerischer Auseinandersetzungen in der Welt öfter in militärische Konflikte hineingezogen werden könnte, machten sich mehr als zwei Drittel der Menschen Sorgen, auch wenn mit 27% vergleichsweise wenige Personen diesbezüglich „große Sorgen“ äußerten. Angesichts der Entwicklungen in der Ukraine ist zu erwarten, dass die hier erfassten Sorgen der Bevölkerung in der zweiten Erhebung „Menschen in Deutschland 2022“ anders ausfallen könnten.
Deutlich weniger Sorgen machten sich die Befragten darüber, dass der Zuzug von Flüchtlingen zu einem Zusammenbruch unseres Sozialsystems führen werde, auch wenn diese Befürchtungen immer noch von mehr als der Hälfte der Personen geteilt wurden. Hervorzuheben ist aber, dass sich mit 18% nur ein relativ geringer Anteil der Befragten als darüber „sehr besorgt“ äußerte.
Über solche konkret benannten Herausforderungen und Sorgen hinaus haben wir auch allgemeiner erfasst, wie verbreitet Gefühle der Verunsicherung aufgrund gesellschaftlicher Veränderungen und Neuerungen in der Bevölkerung sind. Fast drei Viertel (72%) der Befragten stimmten der Aussage zu „Heute ändert sich alles so schnell, dass man oft nicht weiß, woran man sich halten soll“. Mehr als die Hälfte der Befragten gab zudem an, dass die Ereignisse der letzten Jahre bei ihnen zu Unsicherheit führten. Es ist davon auszugehen, dass diese beiden Aussagen vor allem Bezüge zur Corona-Pandemie und den sich kurzfristig ändernden Maßnahmen und Regeln aufweisen. Sie deuten aber darüber hinaus auch auf eine allgemeine Verunsicherung durch schnelle und tiefgreifende Veränderungen in der Gesellschaft und der Politik hin.
Demgegenüber stimmten jedoch deutlich weniger Personen – wenn auch mit über einem Viertel der Befragten immer noch ein substanzieller Anteil – der Aussage zu „Heutzutage kann man sich auf niemanden mehr verlassen“. Die soziale Verbundenheit bzw. ein daraus abgeleitetes Gefühl des Vertrauens in andere Personen scheint im Vergleich zu den zuvor beschriebenen Sorgen und Verunsicherungen demnach nur bei einem kleineren Teil der Menschen beeinträchtigt zu sein.
Betrachtet man die Verunsicherung anhand aller fünf Fragen, die wir den Teilnehmer*innen zu diesem Thema gestellt haben, zeigt sich ein hohes Ausmaß solcher Verunsicherungen durchschnittlich bei 20% der Befragten. Jüngere Personen unter 30 Jahren (23%) und ältere Menschen ab 70 Jahren (27%) weisen hier die höchsten Raten auf.
Anteil der Befragten in %, die auf einer Mittelwertskala zur Verunsicherung (bestehend aus 5 Fragen)einen Wert von über 3 erreichen (Wertebereich 1-4).
Bewertung der Demokratie und Vertrauen in die Politik
Die Demokratie als Basis des politischen Systems in Deutschland erfährt in der Bevölkerung eine breite Zustimmung. Zwischen 85% und 90% der Befragten stimmten entsprechenden Aussagen zu, in denen die Demokratie als beste Staatsform und als geeignet zur Lösung von Problemen in Deutschland benannt wurde. Auch grundlegende Rechte und Freiheiten wie die Versammlungsfreiheit („Jeder Bürger sollte das Recht haben, für seine Überzeugungen auf die Straße zu gehen“), die Meinungsfreiheit („Alle Minderheiten sollten das Recht haben, ihre Meinung frei zu äußern“) und die Pressefreiheit („Die Freiheit der Presse in unserem Land muss geschützt werden“) wurden von 86% bis 94% der Befragten als schützenswert angesehen und insoweit positiv bewertet.
Dieses mit Blick auf die normative Basis der demokratischen Verfasstheit positive Bild bestätigt sich bei der Betrachtung des Vertrauens in relevante politische Institutionen jedoch nur teilweise. So erwies sich das Vertrauen der Befragten in die Polizei und die Gerichte mit 79% bzw. 75% zwar als sehr hoch. In Bezug auf konkrete politische Akteure – also die Regierung und politische Parteien – fiel das Vertrauen der Befragten im Frühjahr 2021 hingegen deutlich geringer aus. Der Regierung vertraute nur etwas mehr als die Hälfte der Befragten. Das Vertrauen in politische Parteien lag mit nur 41% nochmals niedriger.
Anteil der Befragten in %, die auf einer Skala von 1 bis 6 mindestens den Wert 4 angegeben haben.
Die Bewertung und Einschätzung von Entscheidungsträgern aus Politik, Wissenschaft und Wirtschaft hinsichtlich ihrer Handlungsmotivation und Kompetenzen zur Bewältigung gesellschaftlicher Herausforderungen untermauert dieses bei vielen Menschen eher fehlende Vertrauen weiter. Deutlich mehr als die Hälfte der Befragten (jeweils 58%) gab an, dass Entscheidungsträger oft „wider besseren Wissens gegen die Interessen der Bevölkerung“ handelten und unfähig seien, aktuelle gesellschaftliche Herausforderungen zu bewältigen. Die höchsten Zustimmungswerte erhielt hier mit 61% die Aussage, wonach die Entscheidungsträger nicht „an den Problemen der einfachen Leute interessiert“ seien.
Fast die Hälfte der Befragten (48%) gab zudem an, dass ihrer Einschätzung nach Menschen wie sie selbst von Politikern nicht ernst genommen würden. Erheblich besser fiel – wie schon zuvor – die Bewertung von Behörden und der Polizei aus. Hier stimmten nur 21% bzw. 12% der Aussage zu, dass Menschen wie sie selbst von diesen respektlos oder unfair behandelt werden.
In der Kritik der Bürger*innen stehen also eher die politischen Akteure (Regierung und Parteien), nicht so sehr das demokratische System als solches oder staatliche Institutionen, mit denen die Befragten im Alltag tatsächlich in Kontakt kommen (Behörden, Polizei und Gerichte). Es wird sichtbar, dass nicht nur das allgemeine Vertrauen in politische Akteure in der Bevölkerung gering ist, sondern dass den relevanten Entscheidungsträgern darüber hinaus auch die Bewältigung aktueller Herausforderungen von einem großen Teil der Befragten nicht ohne Weiteres zugetraut wird. Ihnen wird vielmehr von einer Mehrheit der Befragten ein Desinteresse an den Problemen der Bevölkerung bzw. sogar ein Handeln zugeschrieben, das explizit den Interessen der Bevölkerung entgegensteht.
| Unsere Studie legt einen großen Fokus auf politische und gesellschaftliche Zustände und deren Bewertung durch die Befragten. Nur wenn uns Menschen berichten, welche Erfahrungen und Beobachtungen sie machen, können wir sehen, welche Probleme sie wahrnehmen und wie sie diese Probleme beurteilen. Deshalb fragen wir in unseren Studien einerseits nach den eigenen Erfahrungen mit Diskriminierung und andererseits nach Beobachtungen im eigenen Lebensumfeld, die auf Intoleranz, Vorurteile und politischen Extremismus hinweisen könnten. Dies hilft uns dabei, Aussagen darüber zu treffen, wie verbreitet solche Situationen und Erfahrungen in ganz Deutschland sind und inwiefern sich Menschen von ihnen bedroht fühlen. |
Eigene Erfahrungen mit Diskriminierung
Insgesamt gab mehr als die Hälfte der Befragten an, in den letzten 12 Monaten persönlich eine Form von Diskriminierung erfahren zu haben. Deutliche Unterschiede fanden sich jedoch je nach der Art der Diskriminierung und dem Alter der Befragten. So gaben von den Personen unter 40 Jahren 33% an, aufgrund ihrer Hautfarbe, ihrer ethnischen Herkunft oder ihrer Nationalität diskriminiert worden zu sein. Ein vergleichbarer Anteil dieser Altersgruppe berichtete von Diskriminierung aufgrund ihres Geschlechts. 21% der Befragten in diesem Alter erlebten Diskriminierung aufgrund ihres Glaubens oder ihrer Religion.
Die Erfahrungen mit solchen persönlichen Diskriminierungen waren bei Personen im Alter ab 60 Jahren deutlich seltener. Hier lag die Rate derer, die sich diskriminiert fühlten, jeweils nur zwischen 6% und 7%. Personen im Alter von 40 bis 59 Jahren lagen jeweils im Mittelfeld der drei Altersgruppen.
Anteil der Befragten in %, die sich „selten“, „manchmal“ oder „oft“ diskriminiert gefühlt haben.
Hieraus lässt sich jedoch nicht ableiten, dass junge Personen tatsächlich häufiger diskriminiert wurden als ältere Menschen. Die Ergebnisse könnten ebenso auf eine andere Wahrnehmung diskriminierender Verhaltensweisen durch jüngere Personen hindeuten, die möglicherweise ein höheres Bewusstsein und mehr Sensibilität für entsprechend problematische Situationen aufweisen. Auch sind die hier erfragten Diskriminierungsgründe nur ein Ausschnitt der im Alltag möglichen Formen von Benachteiligung und Diskriminierung. So beinhalten sie beispielsweise nicht die Frage nach erlebter Altersdiskriminierung, bei der unter Umständen eine andere Verteilung zu erwarten wäre.
Wahrnehmung von Intoleranz und politischen Extremismen im eigenen Lebensumfeld
Neben den Fragen zu eigenen Diskriminierungserfahrungen wurden die Befragten auch gebeten, ihre Wahrnehmungen als Beobachtende von Geschehnissen in ihrem sozialen Lebensumfeld zu berichten, die politisch bedeutsam sein könnten.
Insgesamt zeigt sich, dass die Beobachtung verschiedener Formen von Diskriminierung, Vorurteilen und Intoleranz gegenüber anderer Personen häufiger berichtet wurde als eigene Diskriminierungserlebnisse. So gaben 42% der Befragten an, in den letzten 12 Monaten miterlebt zu haben, dass andere Menschen wegen ihrer ethnischen Herkunft beleidigt oder angegriffen wurden. Fast ein Drittel (31%) hat selbst beobachtet, dass eine andere Person wegen ihrer Hautfarbe beschimpft oder angegriffen wurde. Formen von Fremdenfeindlichkeit und Rassismus sind also für viele Befragte ein direkt wahrnehmbares Problem in ihrem Lebensumfeld.
Beobachtungen, die auf Antisemitismus hindeuten, wurden je nach Erscheinungsform unterschiedlich häufig gemacht. Während fast die Hälfte der Befragten (45%) in ihrem persönlichen Umfeld antisemitische Schmierereien oder Parolen gesehen hat, gaben nur 16% an, in den letzten 12 Monaten eine Beschimpfung von Menschen jüdischen Glaubens mitbekommen zu haben.Anteil der Befragten in %, die angeben, dies „selten“, „manchmal“ oder „oft“ erlebt zu haben.
Derartige intolerante Handlungen können sowohl ein Bestandteil verschiedener Formen politischer Extremismen sein als auch dazu beitragen, dass sich extremistische Haltungen und Aktivitäten entwickeln. Die Befragten wurden deshalb auch zu ihren Wahrnehmungen und Beobachtungen verschiedener politischer Extremismen – in Form von linksextremistischen, rechtsextremistischen und islamistischen Aktivitäten – im eigenen Lebensumfeld befragt.
Am häufigsten wurden rechtsextremistische Aktivitäten beobachtet: 15% der Befragten gaben an, solche Aktivitäten „manchmal“ oder „oft“ beobachtet zu haben. Mit 13% fiel die Rate der Beobachtungen von Aktivitäten, die von den Befragten dem linksextremistischen Spektrum zugeordnet wurden, nur wenig geringer aus. Am seltensten wurden islamistische Aktivitäten (8%) beobachtet.
Deutliche Unterschiede in der Häufigkeit solcher Beobachtungen zeigen sich bei einer Betrachtung der Größe des Wohnorts der Befragten. Für alle Extremismen zeigt sich, dass in mittleren Städten und Großstädten der Anteil der Befragten, die solche Aktivitäten wahrgenommen haben, höher ausfällt. Dabei wurden linksextremistische und rechtsextremistische Aktivitäten in Großstädten von jeweils etwas weniger als einem Viertel der Befragten „manchmal“ oder „oft“ beobachtet, islamistische Aktivitäten hingegen nur von 11%.Anteil der Befragten in %, die angeben, diese Formen politisch-extremistischer Aktivitäten
„manchmal“ oder „oft“ beobachtet zu haben.
Diese Verteilungen entsprechen erwartbaren Unterschieden, geht man davon aus, dass allein durch die Bevölkerungsdichte in einer Großstadt im Vergleich zu kleineren Orten die Möglichkeit zur Beobachtung solcher Aktivitäten in höherem Maße besteht. Zudem spielen sich hier in der Regel auch häufiger Protestgeschehen ab, bei denen es zu entsprechenden politischen Äußerungen und damit verbundenen Auseinandersetzungen kommen kann.

Betrachtet man die Raten solcher Beobachtungen getrennt für die Bundesländer, in denen die Befragten leben, zeigen sich deutliche Unterschiede innerhalb Deutschlands – hier exemplarisch anhand der Beobachtung rechtsextremistischer Aktivitäten dargestellt.
Der Anteil der Befragten, die rechtsextremistische Aktivitäten „manchmal“ oder „oft“ beobachtet haben, liegt danach in Brandenburg, Sachsen und Thüringen über dem oben dargestellten Durchschnitt von 15%. Dass dieses Phänomen jedoch nicht nur neue Bundesländer betrifft, zeigen die deutlich höheren Raten in den Stadtstaaten Berlin und Bremen. Zugleich weist jedoch Hamburg – ebenfalls ein Stadtstaat – mit nur 7% die geringste Rate auf.
Bereits diese Ergebnisse zeigen, dass vereinfachende Erklärungen, z.B. allein anhand der Größe des Wohnorts oder der Region in Deutschland, der Komplexität solcher Phänomene nicht gerecht werden. Unsere weiteren Forschungen werden sich daher auch darauf richten, die Hintergründe für die regionalen Differenzen solcher Wahrnehmungen noch genauer zu untersuchen.
Neben der Häufigkeit der reinen Beobachtung von politisch-extremistischen Aktivitäten ist es wichtig zu beachten, inwiefern sich Menschen in ihrem Lebensumfeld von Formen politisch motivierter Gewalt bedroht fühlen. Das Ausmaß solcher subjektiver Bedrohungsgefühle war im Durchschnitt etwas höher als die Häufigkeit der entsprechenden Beobachtungen. Auch hier wurden im Bereich des Rechtsextremismus die höchsten Werte verzeichnet (20%). Bemerkenswert ist jedoch, dass trotz der zuvor dargestellten häufigeren Beobachtung linksextremistischer Aktivitäten die Bedrohungswahrnehmung durch linksextremistische Gewalt mit 10% deutlich geringer war als die Bedrohungswahrnehmung durch islamistische Gewalt (16%).
Wie schon bei der Beobachtung extremistischer Aktivitäten zeigt sich auch hier, dass in größeren Wohnorten und insbesondere in Großstädten Gefühle der Bedrohung durch diese drei Formen der extremistischen Gewalt mit 16% bis 28% weiter verbreitet sind als in kleineren Orten.Anteil der Befragten in %, die sich „etwas bedroht“ oder „sehr bedroht“ fühlten.
Diese Auswertungen zeigen beispielhaft auf, dass die Beobachtung bestimmter Aktivitäten keine unmittelbare Wirkung auf die Wahrnehmung von Bedrohungen oder Sorgen haben müssen. Vielmehr ist anzunehmen, dass hier weitere Faktoren (z.B. Darstellungen in Medien) relevant werden. Dies betrifft nicht nur politische Formen von Extremismen, sondern auch die Wahrnehmung und persönliche Relevanz sozialer Probleme und die Bewertung politischer und gesellschaftlicher Akteure, wie weiter oben gezeigt wurde.
Ziel der Studie „Menschen in Deutschland“ ist es, genau solche Faktoren zu identifizieren und aufzuzeigen, wie sich gesellschaftliche Situationen und ihre Veränderungen auf das Leben der Menschen in Deutschland auswirken. Ein wichtiges Thema ist darüber hinaus die Frage, wie sich die Einschätzung von Politik und Gesellschaft im weiteren Zeitverlauf in den nächsten Jahren entwickeln und möglicherweise auch wandeln wird. Die Befragungen im Rahmen unserer Studie werden hierfür ab 2021 jedes Jahr erneut durchgeführt, sodass Veränderungen sichtbar gemacht und deren mögliche Hintergründe beleuchtet werden können.
|
Dieser kurze Bericht sollte einen ersten Einblick in Fragestellungen und ausgewählte Befunde unserer Untersuchung „Menschen in Deutschland 2021“ geben. Wir möchten diese Gelegenheit auch nutzen, uns bei allen Befragten ganz herzlich für ihre Zeit zu bedanken.Vielen Dank, dass Sie uns durch Ihre Teilnahme an der Befragung unterstützt haben!
Für Rückfragen kontaktieren Sie gerne unser Team an der Universität Hamburg über |
Weitere Ergebnisse der Repräsentativbefragung „Menschen in Deutschland 2021“
In folgenden Buchbeiträgen sowie Forschungs- und Kurzberichten sind weitere Erkenntnisse auf Basis der Daten der Studie MiD 2021 dokumentiert. Diese Beiträge können jeweils auch online eingesehen oder als Download kostenlos genutzt werden.
- Brettfeld, K. & Wetzels, P. (2022). Studie „Menschen in Deutschland 2021“. Sorgen und Verunsicherungsgefühle angesichts gesellschaftlicher Herausforderungen, Vertrauen in Staat und Politik sowie Betroffenheit durch Intoleranz und Diskriminierung. MOTRA-Spotlight 01/22. Wiesbaden: BKA. https://doi.org/10.57671/motra-2022001
- Brettfeld, K. Endtricht, R., Farren, D., Fischer, J.M.K. & Wetzels, P. (2021). Menschen in Deutschland 2021. Erste Welle der bundesweit repräsentativen Befragung. Entwicklung, Inhalt und Aufbau des Erhebungsinstruments. MOTRA Forschungsbericht No. 1 aus dem Institut für Kriminologie an der Fakultät für Rechtswissenschaft. Hamburg: Universität Hamburg.
https://doi.org/10.25592/uhhfdm.10257 - Endtricht, R., Farren, D., Fischer, J.M.K., Brettfeld, K. & Wetzels, P. (2022). Menschen in Deutschland 2021. Erste Welle der bundesweit repräsentativen Befragung. Durchführung und Rücklauf der Erhebung - Methodenbericht. MOTRA Forschungsbericht No. 2 aus dem Institut für Kriminologie an der Fakultät für Rechtswissenschaft. Hamburg: Universität Hamburg. https://doi.org/10.25592/uhhfdm.10259
Forschungsbericht zur Repräsentativbefragung "Menschen in Deutschland 2021"
In diesem Bericht werden die Ergebnisse deskriptiver Grundauswertungen der ersten Welle der bundesweit repräsentativen Einstellungsbefragung „Menschen in Deutschland 2021“ (MiD 2021) vorgestellt. Die Studie ist Bestandteil des nationalen, durch das BMBF und das BMI geförderten Forschungsverbundes MOTRA, innerhalb dessen insgesamt acht Institutionen aus Wissenschaft, Forschung und Zivilgesellschaft als Kooperationspartner zusammenarbeiten, ihre Forschungen aufeinander beziehen und miteinander abstimmen (vgl. dazu Kemmesies & Wetzels 2021, S. 15 ff.). Eine zentrale übergeordnete Zielsetzung der Forschungsarbeiten dieses Verbundes besteht darin, das Radikalisierungsgeschehen in Deutschland möglichst umfassend - d.h. sowohl phänomenübergreifend als auch phänomenspezifisch - unter Einsatz verschiedener Datenquellen und Erhebungsmethoden zu beobachten und diesbezüglich zentrale Einflussfaktoren wie auch Veränderungen zeitnah zu identifizieren, um so gewonnene Erkenntnisse für Wissenschaft, Politik und Praxis zur Verfügung zu stelle
Um dies zu realisieren, werden unter anderem in jährlichem Abstand repräsentative Befragungen der bundesdeutschen Wohnbevölkerung durchgeführt. In der ersten Projektphase von MOTRA (Nov. 2019 bis Nov. 2024) sind vier Befragungen der erwachsenen Wohnbevölkerung ab 18 Jahren vorgesehen. Ergänzend dazu werden in diesem Zeitraum weiter zwei Befragungen junger Menschen im Alter zwischen 16 und 21 Jahren stattfinden.
Das Ziel dieser Trendstudien ist es, ein kontinuierliches Monitoring sowohl extremismusaffiner Einstellungen in der Bevölkerung als auch der individuellen Konfrontationen mit Formen des politischen Extremismus im Alltagsleben von Menschen in Deutschland sowie deren Betroffenheit durch Intoleranz und vorurteilsbehaftete Formen der Ausgrenzung und Diskriminierung zu etablieren. Die Studien sollen – im Zusammenspiel mit den Arbeiten der übrigen Partner des MOTRA-Forschungsverbundes – dazu beitragen, frühzeitig sich anbahnende Entwicklungen von Radikalisierung und politischen Extremismen identifizieren, deren Hintergründe analysieren und die jeweiligen Problembereiche sozial lokalisieren zu können. Informationen dieser Art sind ein wichtiger Bestandteil eines praxisbezogenen, auf universelle und selektive Prävention ausgerichteten, multimethodalen Monitorings auf wissenschaftlicher Basis.
Neben der Erhebung spezifischer Einstellungen der Befragten, ihren politischen Haltungen und ihrem Verhältnis zu Demokratie, Rechtsstaatlichkeit und grundlegenden Freiheitsrechten, wurden auch Angaben der Befragten zu ihren individuellen Konfrontationen mit und der Beobachtung von verschiedenen Erscheinungsformen politischer Extremismen sowie politisch relevanten Formen von Intoleranz und Diskriminierung in deren unmittelbaren Lebensumfeldern erfasst. Darin einbezogen sind auch persönliche Erfahrungen damit, Adressat bzw. Opfer von Intoleranz, Vorurteilen oder Ausgrenzung gewesen zu sein.
Die Analyse solcher alltäglichen subjektiven Wahrnehmungen und Bewertungen sozialer Phänomene und Prozesse gestattet es, aus der Perspektive der Befragten als Betroffene wie auch Beobachtende, d.h. als Expert*innen für ihr eigenes Lebensumfeld, etwas über die Relevanz von Extremismen im Alltag der Bevölkerung sowie über soziale Kontexte zu erfahren, in denen diese eine Rolle spielen.
Mit den hier vorgelegten Analysen wird zunächst rein deskriptiv die Verbreitung und soziale Verortung der in MiD 2021 untersuchten Phänomene in den Blick genommen. Dabei handelt es sich um eine Auswahl zentraler Ergebnisse, welche die relevanten abhängigen Variablen des Einstellungsmonitorings betreffen. Insbesondere werden Schätzungen der Größenordnung entsprechender Risikopotentiale in der Gesamtbevölkerung auf repräsentativer Datenbasis vorgenommen, d.h. die Prävalenzraten entsprechender Phänomene in der Population der erwachsenen Wohnbevölkerung werden unter Berücksichtigung von stichprobenbedingten Ungenauigkeiten geschätzt. Diese Schätzungen stellen den Startpunkt kommender Trendanalysen zu möglichen Entwicklungen und Veränderungen der untersuchten Einstellungen dar.
Der vollständige Bericht steht hier im PDF-Format zum Download zuf Verfügung.



